电脑桌面
添加小米粒文库到电脑桌面
安装后可以在桌面快捷访问

四川省宜宾市南溪四中九年级数学第一次月考试卷VIP免费

四川省宜宾市南溪四中九年级数学第一次月考试卷_第1页
1/6
四川省宜宾市南溪四中九年级数学第一次月考试卷_第2页
2/6
四川省宜宾市南溪四中九年级数学第一次月考试卷_第3页
3/6
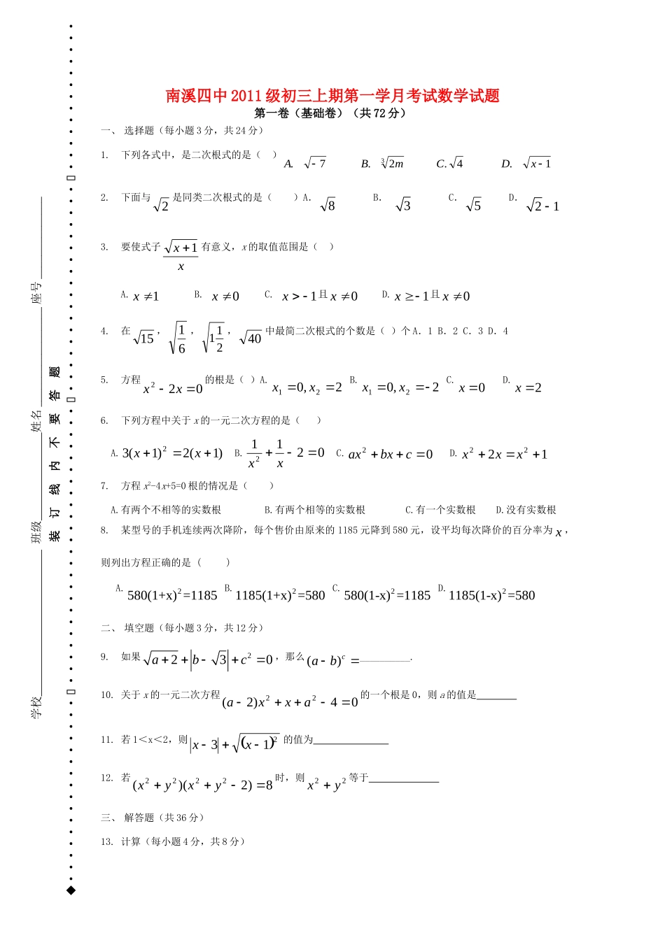
学校班级姓名_________________座号______________装订线内不要答题················装························装··················装·············南溪四中2011级初三上期第一学月考试数学试题第一卷(基础卷)(共72分)一、选择题(每小题3分,共24分)1.下列各式中,是二次根式的是()1.4.2.7.3xDCmBA2.下面与2是同类二次根式的是()A.8B.3C.5D.213.要使式子xx1有意义,x的取值范围是()A.1xB.0xC.1x且0xD.1x且0x4.在15,61,211,40中最简二次根式的个数是()个A.1B.2C.3D.45.方程022xx的根是()A.2,021xxB.2,021xxC.0xD.2x6.下列方程中关于x的一元二次方程的是()A.)1(2)1(32xxB.02112xxC.02cbxaxD.1222xxx7.方程x2-4x+5=0根的情况是()A.有两个不相等的实数根B.有两个相等的实数根C.有一个实数根D.没有实数根8.某型号的手机连续两次降阶,每个售价由原来的1185元降到580元,设平均每次降价的百分率为x,则列出方程正确的是()A.2580(1+x)=1185B.21185(1+x)=580C.2580(1-x)=1185D.21185(1-x)=580二、填空题(每小题3分,共12分)9.如果2230abc,那么()cab__________.10.关于x的一元二次方程04)2(22axxa的一个根是0,则a的值是11.若1<x<2,则213xx的值为12.若8)2)((2222yxyx时,则22yx等于三、解答题(共36分)13.计算(每小题4分,共8分)-23x-2A3x21(1)21418122(2)202(3)(3)14.解方程(每小题5分,共10分)(1)51)12(2x(2)562xx15.(本题6分)先化简,再求值aaaaaa112112,其中21a。16.(本题6分)已知关于x的一元二次方程260xkx的一个根是2,求方程的另一个根和k的值。17.(本题6分)如图所示,是一个正方体的展开图,标注了字母A的面是正方DACBE体的正面,如果正方体的左面与右面所标注的代数式值相等,求x的值。第二卷(拓展卷)(共48分)四、填空题(每小题3分,共12分)18.关于x的方程0132xkx有实数根,则k的取值范围是19.设a、b是方程020092xx的两个实数根,则baa22的值为20.如图所示在平行四边形ABCD中,AE⊥BC于,AE=BE=EC=a,且a是一元二次方程0322xx的根,则平行四边形ABCD的周长为21.观察下列二次根式的化简,12121,23231,34341,45451,找出规律,并计算)12008(200720081341231121五、解答题(共36分)22.(本题6分)已知121,121ba,求225baba的值。23.(本题7分)已知点P(m,n)是直线5xy与双曲线xy6的一个交点,且P的横坐标m满足mm2)2(2。若直线kxy经过点P,试求该直线的解析式。24.(本题7分)阅读理解下列材料然后回答问题:解方程:02||32xx解:(1)当x≥0时,原方程化为0232xx,解得:21x,12x(2)当x<0时,原方程化为0232xx,解得:11x(舍去),22x.∴原方程的根是21x,12x,23x.请观察上述方程的求解过程,试解方程02||2xx25.(本题7分)某小区有一块长为a米,宽为b米的矩形场地,计划在该场地上修筑宽都为2米的两条互相垂直的道路,余下的四块矩形小场地建成草坪.(1)如图,请写出道路的面积S(用含a、b的代数式表示);(2)已知a∶b=2∶1,并且四块草坪的面积之和为312m2,试求原来矩形场地的长与宽各为多少米?26.(本题8分)德化永城超市服装专柜在销售中发现“宝贝”牌童装平均每天售出20件,每件赢利50元。为了迎接“六·一”国际儿童节,超市决定采取适当的降价措施,扩大销售量,增加赢利,减少库存。经市场调查发现:如果每件童装降价4元,那么平均每天就可以多售出8件。(1)要想平均每天在销售这种童装上赢利1600元,那么每件童装应降价多少元?(5分)(2)通过计算说明,每件童装应降价多少元时,超市服装专柜平均每天销售这种童装获利最大?(3分)

1、当您付费下载文档后,您只拥有了使用权限,并不意味着购买了版权,文档只能用于自身使用,不得用于其他商业用途(如 [转卖]进行直接盈利或[编辑后售卖]进行间接盈利)。
2、本站所有内容均由合作方或网友上传,本站不对文档的完整性、权威性及其观点立场正确性做任何保证或承诺!文档内容仅供研究参考,付费前请自行鉴别。
3、如文档内容存在违规,或者侵犯商业秘密、侵犯著作权等,请点击“违规举报”。

碎片内容

四川省宜宾市南溪四中九年级数学第一次月考试卷

您可能关注的文档

海博书城+ 关注
实名认证
内容提供者

从事历史教学,热爱教育,高度负责。

确认删除?
VIP
微信客服
  • 扫码咨询
会员Q群
  • 会员专属群点击这里加入QQ群
客服邮箱
回到顶部