电脑桌面
添加小米粒文库到电脑桌面
安装后可以在桌面快捷访问

吉林省白城洮南十中高一数学下学期第一次月考试卷 理试卷VIP免费

吉林省白城洮南十中高一数学下学期第一次月考试卷 理试卷_第1页
1/4
吉林省白城洮南十中高一数学下学期第一次月考试卷 理试卷_第2页
2/4
吉林省白城洮南十中高一数学下学期第一次月考试卷 理试卷_第3页
3/4
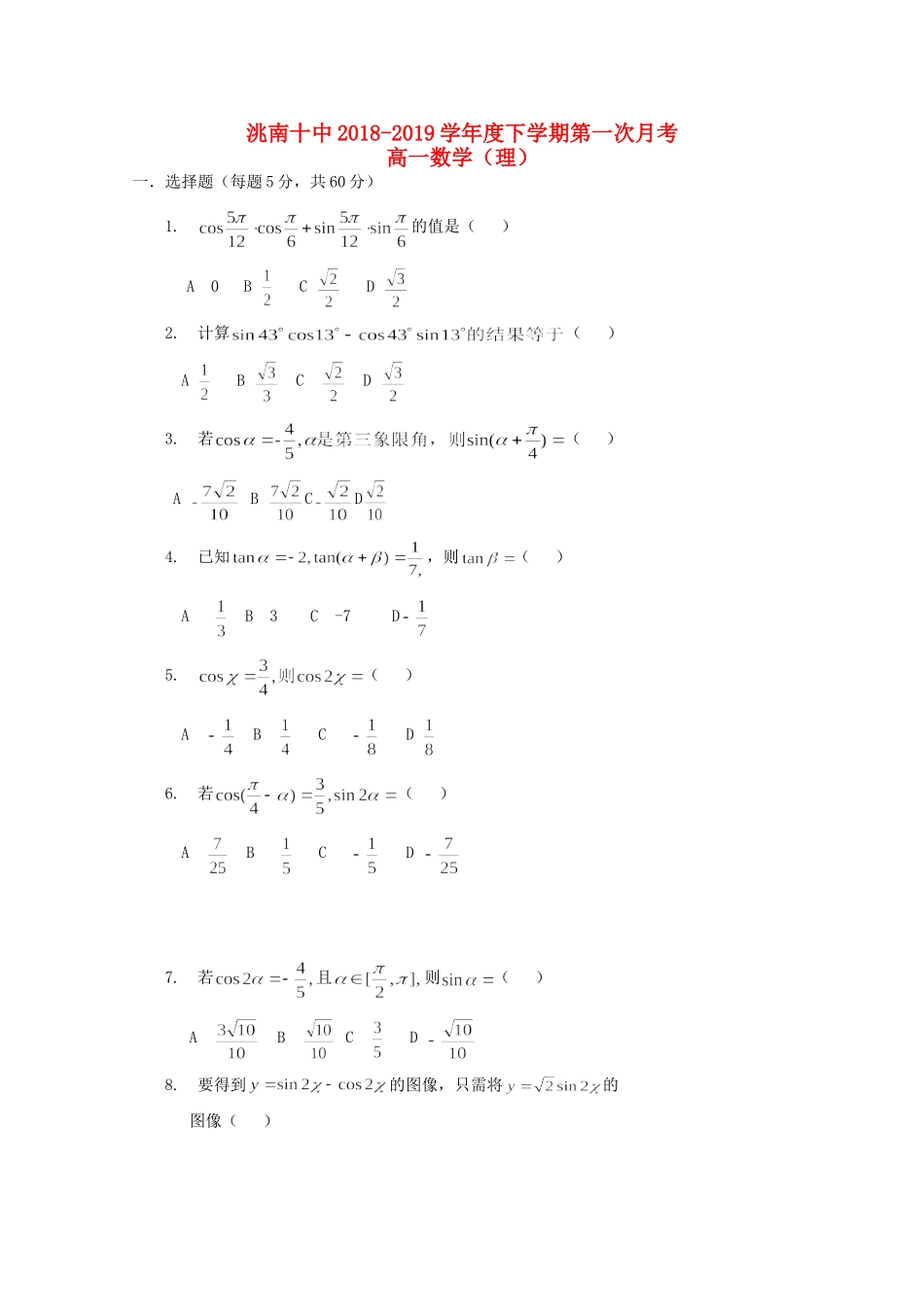
洮南十中2018-2019学年度下学期第一次月考高一数学(理)一.选择题(每题5分,共60分)1.的值是()A0BCD2.计算()ABCD3.若()ABCD4.已知,则()AB3C-7D5.()ABCD6.若()ABCD7.若且则()ABCD8.要得到的图像,只需将的图像()A向左平移个单位长度B向左平移个单位长度C向右平移个单位长度D向右平移个单位长度9.已知平面向量且||,则2()A(-2,-4)B(-3,-6)C(-4,-8)D(-5,-10)10.已知向量(1,-2),,若,则()A1B2C4D-411.已知点A(0,1),B(3,2)向量(-4,-3),则向量()A(-7,-4)B(7,4)C(-1,4)D(1,4)12.已知向量,,则()ABCD二.填空题(每题5分,共20分)13.设是第二象限角,若tan,则14.,,则15.已知,则的值为16.设向量,,若,则实数三.解答题(17题10分,18-22每题12分)17.已知,,求18.已知向量与互相垂直,其中求和的值.19.已知()=(1)求()的最小正周期.求在区间上的最大值与最小值.20.已知向量若向量满足,求的坐标.21.已知函数(1)求的值.(2)求函数的单调区间.22.已知函数,R的最大值是1,其图像经过点M.(1)求的解析式(2)已知,且,,求.(3)

1、当您付费下载文档后,您只拥有了使用权限,并不意味着购买了版权,文档只能用于自身使用,不得用于其他商业用途(如 [转卖]进行直接盈利或[编辑后售卖]进行间接盈利)。
2、本站所有内容均由合作方或网友上传,本站不对文档的完整性、权威性及其观点立场正确性做任何保证或承诺!文档内容仅供研究参考,付费前请自行鉴别。
3、如文档内容存在违规,或者侵犯商业秘密、侵犯著作权等,请点击“违规举报”。

碎片内容

吉林省白城洮南十中高一数学下学期第一次月考试卷 理试卷

您可能关注的文档

远洋启航书店+ 关注
实名认证
内容提供者

从事历史教学,热爱教育,高度负责。

相关文档

确认删除?
VIP
微信客服
  • 扫码咨询
会员Q群
  • 会员专属群点击这里加入QQ群
客服邮箱
回到顶部