电脑桌面
添加小米粒文库到电脑桌面
安装后可以在桌面快捷访问

2017-2018高三上期末金华十校高三期末答案VIP免费

2017-2018高三上期末金华十校高三期末答案_第1页
1/3
2017-2018高三上期末金华十校高三期末答案_第2页
2/3
2017-2018高三上期末金华十校高三期末答案_第3页
3/3
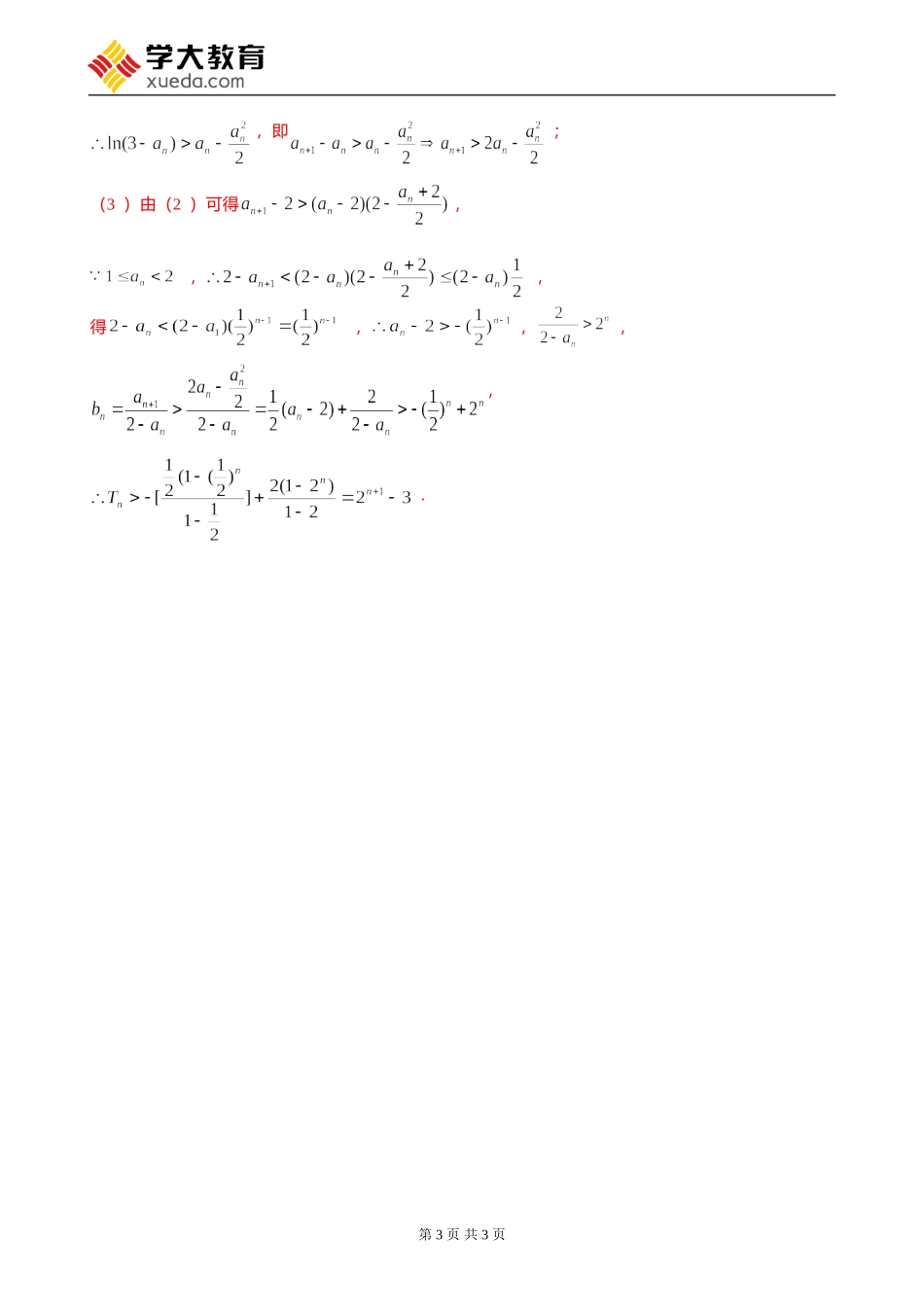
第1页共3页金华十校2017-2018学年第一学期调研考试高三数学试题(答案)一、选择题:本大题共10小题,每小题4分,共40分.在每小题给出的四个选项中,只有一项是符合题目要求的.题号12345678910答案BADCBCADDA二、填空题:本大题共7小题,多空题每小题6分,单空题每小题4分,共36分.11.;12.;13.;414.;15.1216.17.三、解答题:本大题共5小题,共74分.解答应写出文字说明、证明过程或演算步骤.18.【解析】(1),最小正周期为;(2)因为,所以,则最大值为1,最小值为,故在区间上的取值范围为.19.【答案】(1)略(2)直接建系来做,没什么难度,.20.【解析】(1),由函数在区间上单调递减,可得,,,故的取值范围为;(2)要证原不等式成立,即证成立,设,则,在(1)中,令,则,在上单调递减,单调递增,而,第2页共3页在上单调递增,,即当时,恒成立.21.【解析】(1)已知,将坐标代入椭圆方程,可求得:,,所以椭圆的标准方程为;(2)设,则切线方程为,即,与轴交于,,,,即或,解得,,所以直线的方程为:.22.【解析】(1)用数学归纳法证明:当时,显然成立,假设时不等式成立,即,设,,函数在上单调递增,,所以假设成立,则当时,;(2)设,,在上单调递减,而,,第3页共3页,即;(3)由(2)可得,,,得,,,,.

1、当您付费下载文档后,您只拥有了使用权限,并不意味着购买了版权,文档只能用于自身使用,不得用于其他商业用途(如 [转卖]进行直接盈利或[编辑后售卖]进行间接盈利)。
2、本站所有内容均由合作方或网友上传,本站不对文档的完整性、权威性及其观点立场正确性做任何保证或承诺!文档内容仅供研究参考,付费前请自行鉴别。
3、如文档内容存在违规,或者侵犯商业秘密、侵犯著作权等,请点击“违规举报”。

碎片内容

2017-2018高三上期末金华十校高三期末答案

您可能关注的文档

精品文库+ 关注
实名认证
内容提供者

超级好的教育资料

确认删除?
VIP
微信客服
  • 扫码咨询
会员Q群
  • 会员专属群点击这里加入QQ群
客服邮箱
回到顶部