电脑桌面
添加小米粒文库到电脑桌面
安装后可以在桌面快捷访问

过程设备设计第三版课后答案及重点(郑津洋)VIP免费

过程设备设计第三版课后答案及重点(郑津洋)_第1页
1/18
过程设备设计第三版课后答案及重点(郑津洋)_第2页
2/18
过程设备设计第三版课后答案及重点(郑津洋)_第3页
3/18
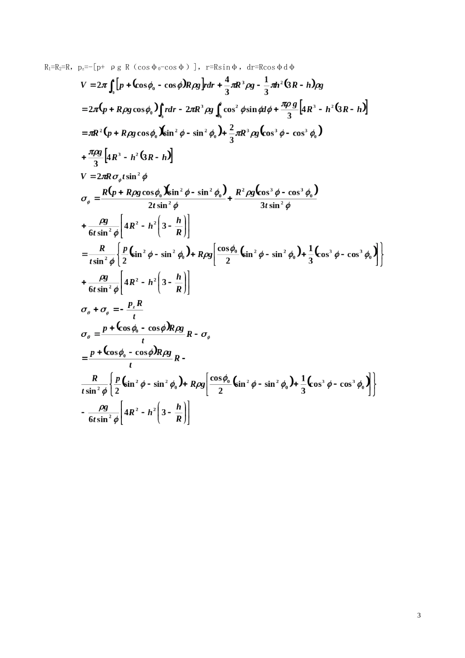
过程设备设计题解1.压力容器导言习题1.试应用无力矩理论的基本方程,求解圆柱壳中的应力(壳体承受气体内压p,壳体中面半径为R,壳体厚度为t)。若壳体材料由20R()改为16MnR()时,圆柱壳中的应力如何变化?为什么?解:求解圆柱壳中的应力应力分量表示的微体和区域平衡方程式:圆筒壳体:R1=∞,R2=R,pz=-p,rk=R,φ=π/2壳体材料由20R改为16MnR,圆柱壳中的应力不变化。因为无力矩理论是力学上的静定问题,其基本方程是平衡方程,而且仅通过求解平衡方程就能得到应力解,不受材料性能常数的影响,所以圆柱壳中的应力分布和大小不受材料变化的影响。2.对一标准椭圆形封头(如图所示)进行应力测试。该封头中面处的长轴D=1000mm,厚度t=10mm,测得E点(x=0)处的周向应力为50MPa。此时,压力表A指示数为1MPa,压力表B的指示数为2MPa,试问哪一个压力表已失灵,为什么?解:根据标准椭圆形封头的应力计算式计算E的内压力:标准椭圆形封头的长轴与短轴半径之比为2,即a/b=2,a=D/2=500mm。在x=0处的应力式为:从上面计算结果可见,容器内压力与压力表A的一致,压力表B已失灵。3.有一球罐(如图所示),其内径为20m(可视为中面直径),厚度为20mm。内贮有液氨,球罐上部尚有3m的气态氨。设气态氨的压力p=0.4MPa,液氨密度为640kg/m3,球罐沿平行圆A-A支承,其对应中心角为120°,试确定该球壳中的薄膜应力。解:球壳的气态氨部分壳体内应力分布:R1=R2=R,pz=-p支承以上部分,任一φ角处的应力:R1=R2=R,pz=-[p+ρgR(cosφ0-cosφ)],r=Rsinφ,dr=Rcosφdφ1φ0h由区域平衡方程和拉普拉斯方程:支承以下部分,任一φ角处的应力(φ>120°):2R1=R2=R,pz=-[p+ρgR(cosφ0-cosφ)],r=Rsinφ,dr=Rcosφdφ34.有一锥形底的圆筒形密闭容器,如图所示,试用无力矩理论求出锥形底壳中的最大薄膜应力σθ与σφ的值及相应位置。已知圆筒形容器中面半径R,厚度t;锥形底的半锥角α,厚度t,内装有密度为ρ的液体,液面高度为H,液面上承受气体压力pc。解:圆锥壳体:R1=∞,R2=r/cosα(α半锥顶角),pz=-[pc+ρg(H+x)],φ=π/2-α,5.试用圆柱壳有力矩理论,求解列管式换热器管子与管板连接边缘处(如图所示)管子的不连续应力表达式(管板刚度很大,管子两端是开口的,不承受轴向拉力)。设管内压力为p,管外压力4xr为零,管子中面半径为r,厚度为t。解:管板的转角与位移内压作用下管子的挠度和转角内压引起的周向应变为:转角:边缘力和边缘边矩作用下圆柱壳的挠度和转角变形协调条件求解边缘力和边缘边矩边缘内力表达式边缘内力引起的应力表达式5综合应力表达式6.两根几何尺寸相同,材料不同的钢管对接焊如图所示。管道的操作压力为p,操作温度为0,环境温度为tc,而材料的弹性模量E相等,线膨胀系数分别α1和α2,管道半径为r,厚度为t,试求得焊接处的不连续应力(不计焊缝余高)。解:内压和温差作用下管子1的挠度和转角内压引起的周向应变为:温差引起的周向应变为:转角:内压和温差作用下管子2的挠度和转角内压引起的周向应变为:温差引起的周向应变为:转角:6边缘力和边缘边矩作用下圆柱壳1的挠度和转角边缘力和边缘边矩作用下圆柱壳2的挠度和转角变形协调条件求解边缘力和边缘边矩边缘内力表达式边缘内力引起的应力表达式综合应力表达式77.一单层厚壁圆筒,承受内压力pi=36MPa时,测得(用千分表)筒体外表面的径向位移w0=0.365mm,圆筒外直径D0=980mm,E=2×105MPa,μ=0.3。试求圆筒内外壁面应力值。解:周向应变物理方程仅承受内压时的Lamè公式在外壁面处的位移量及内径:内壁面处的应力值:外壁面处的应力值:88.有一超高压管道,其外直径为78mm,内直径为34mm,承受内压力300MPa,操作温度下材料的σb=1000MPa,σs=900MPa。此管道经自增强处理,试求出最佳自增强处理压力。解:最佳自增强处理压力应该对应经自增强处理后的管道,在题给工作和结构条件下,其最大应力取最小值时对应的塑性区半径Rc情况下的自增强处理压力。对应该塑性区半径Rc的周向应力为最大拉伸应力,其值应为经自增强处理后的残余应力与内压力共同作用下的周向应力之和:令其一阶导数等...

1、当您付费下载文档后,您只拥有了使用权限,并不意味着购买了版权,文档只能用于自身使用,不得用于其他商业用途(如 [转卖]进行直接盈利或[编辑后售卖]进行间接盈利)。
2、本站所有内容均由合作方或网友上传,本站不对文档的完整性、权威性及其观点立场正确性做任何保证或承诺!文档内容仅供研究参考,付费前请自行鉴别。
3、如文档内容存在违规,或者侵犯商业秘密、侵犯著作权等,请点击“违规举报”。

碎片内容

过程设备设计第三版课后答案及重点(郑津洋)

您可能关注的文档

确认删除?
VIP
微信客服
  • 扫码咨询
会员Q群
  • 会员专属群点击这里加入QQ群
客服邮箱
回到顶部