电脑桌面
添加小米粒文库到电脑桌面
安装后可以在桌面快捷访问

九年级数学中秋假期作业试卷VIP免费

九年级数学中秋假期作业试卷_第1页
1/4
九年级数学中秋假期作业试卷_第2页
2/4
九年级数学中秋假期作业试卷_第3页
3/4
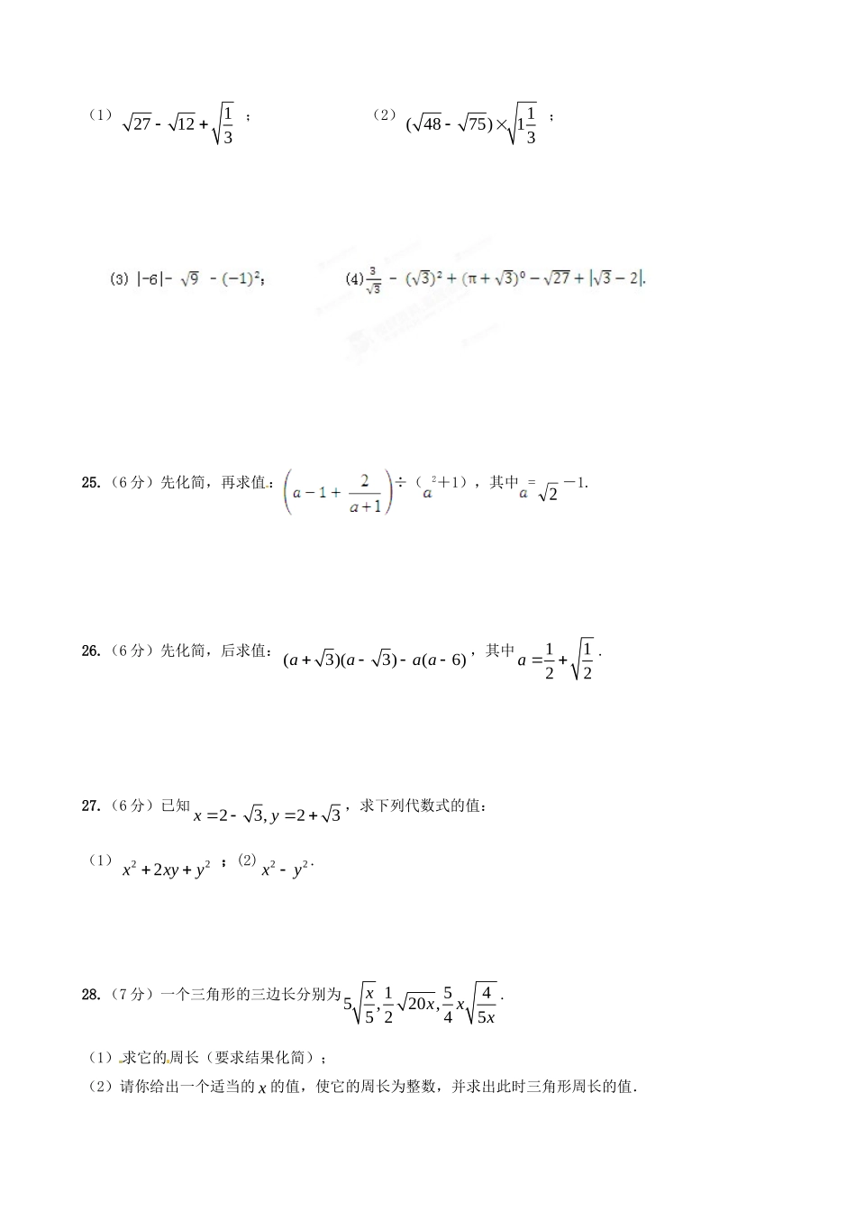
江苏省大丰市刘庄第二初级中学2014届九年级中秋假期数学作业一、选择题(每小题2分,共26分)1.下列二次根式中,的取值范围是3x的是()A.3xB.62xC.26xD.13x2.要使式子有意义,则x的取值范围是()A.x>0B.x≥-2C.x≥2D.x≤23.下列二次根式中,是最简二次根式的是()A.xy2B.2abC.21D.422xxy4.若2(21)12aa,则()A.<12B.≤12C.>12D.≥126.k、m、n为三整数,若=k,=15,=6,则k、m、n的大小关系是()A.k<m=nB.m=n<kC.m<n<kD.m<k<n7.如果最简二次根式38a与172a能够合并,那么a的值为()A.2B.3C.4D.58.已知,则2xy的值为()A.15B.15C.152D.1529.下列各式计算正确的是()A.B.C.D.10.等式2111xxx成立的条件是()A.1xB.1xC.≥D.≤11.下列运算正确的是()A.235B.312914C.822D.5252212.已知24n是整数,则正整数n的最小值是()A.4B.5C.6D.213.判断×之值会介于下列哪两个整数之间?()A.22、23B.23、24C.24、25D.25、26二、填空题(每小题3分,共30分)14.化简:32;2318(0,0)xyxy=.15..16.比较大小:103;22______.17.已知:一个正数的两个平方根分别是22a和4a,则a的值是.18.计算:________;22512.19.已知a、b为两个连续的整数,且28ab,则ab.20.直角三角形的两条直角边长分别为、,则这个直角三角形的斜边长为________,面积为________.21.若实数yx,满足22(3)0xy,则xy的值为.22.已知实数x,y满足|x-4|+=0,则以x,y的值为两边长的等腰三角形的周长是.23.已知ab、为有理数,mn、分别表示57的整数部分和小数部分,且21amnbn,则2ab.三、解答题(共44分)24.(6分)计算:(1)127123;(2)1(4875)13;25.(6分)先化简,再求值:÷(2+1),其中=2-1.26.(6分)先化简,后求值:(3)(3)(6)aaaa,其中1122a.27.(6分)已知23,23xy,求下列代数式的值:(1)222xxyy;(2)22xy.28.(7分)一个三角形的三边长分别为1545,20,5245xxxx.(1)求它的周长(要求结果化简);(2)请你给出一个适当的x的值,使它的周长为整数,并求出此时三角形周长的值.29.(6分)已知,ab为等腰三角形的两条边长,且,ab满足3264baa,求此三角形的周长.30.(7分)阅读下面问题:12)12)(12()12(1121;;23)23)(23(23123125)25)(25(251251.试求:(1)671的值;(2)nn11(n为正整数)的值.(3)11111122334989999100的值.

1、当您付费下载文档后,您只拥有了使用权限,并不意味着购买了版权,文档只能用于自身使用,不得用于其他商业用途(如 [转卖]进行直接盈利或[编辑后售卖]进行间接盈利)。
2、本站所有内容均由合作方或网友上传,本站不对文档的完整性、权威性及其观点立场正确性做任何保证或承诺!文档内容仅供研究参考,付费前请自行鉴别。
3、如文档内容存在违规,或者侵犯商业秘密、侵犯著作权等,请点击“违规举报”。

碎片内容

九年级数学中秋假期作业试卷

您可能关注的文档

雨丝书吧+ 关注
实名认证
内容提供者

乐于和他人分享知识,从事历史教学,热爱教育,高度负责。

确认删除?
VIP
微信客服
  • 扫码咨询
会员Q群
  • 会员专属群点击这里加入QQ群
客服邮箱
回到顶部