电脑桌面
添加小米粒文库到电脑桌面
安装后可以在桌面快捷访问

(浙江专版)高考数学一轮复习 专题2.2 函数的单调性与值域(测)-人教版高三全册数学试题VIP专享VIP免费

(浙江专版)高考数学一轮复习 专题2.2 函数的单调性与值域(测)-人教版高三全册数学试题_第1页
1/14
(浙江专版)高考数学一轮复习 专题2.2 函数的单调性与值域(测)-人教版高三全册数学试题_第2页
2/14
(浙江专版)高考数学一轮复习 专题2.2 函数的单调性与值域(测)-人教版高三全册数学试题_第3页
3/14
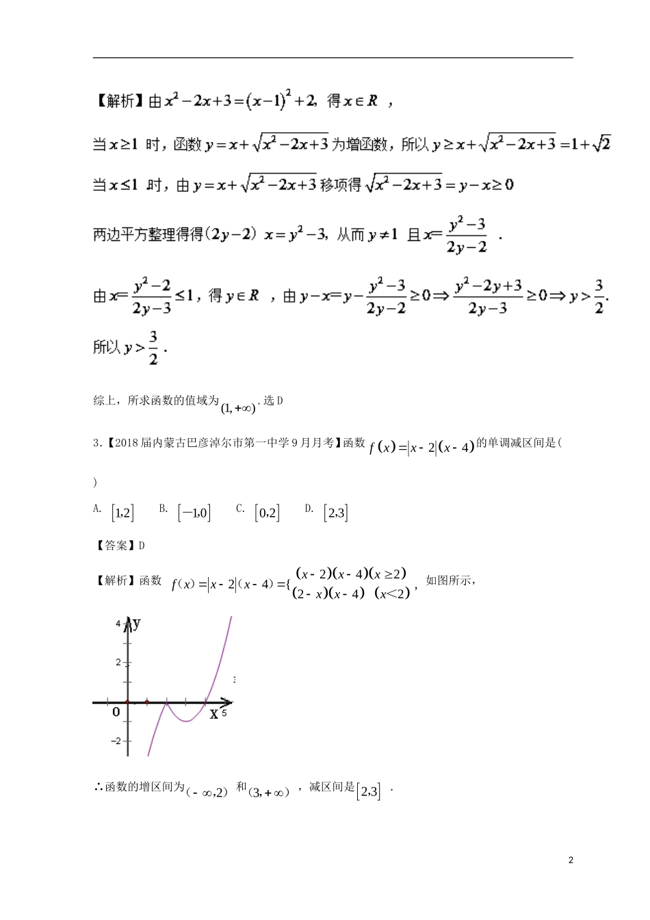
第02节函数的单调性与值域班级__________姓名_____________学号___________得分__________一、选择题:本大题共10小题,每小题4分,共40分.在每小题给出的四个选项中,只有一项是符合题目要求的.1.【2018届河北省衡水中学高三三轮复习系列七】下列函数中,与函数的奇偶性相同,且在上单调性也相同的是()A.B.C.D.【答案】A【解析】分析:,逐一判断选项中函数奇偶性、单调性,从而可得结果.详解:函数为偶函数,且在上为增函数,对于选项,函数为偶函数,在上为増函数,符合要求;对于选项,函数是偶函数,在上为减函数,不符合题意;对于选项,函数为奇函数,不符合题意;对于选项,函数为非奇非偶函数,不符合要求;只有选项符合要求,故选A.2.【2018届浙江省名校协作体高三上学期考】函数223yxxx的值域为()A.12,B.(2,)C.3,D.(1,)【答案】D1综上,所求函数的值域为(1,).选D3.【2018届内蒙古巴彦淖尔市第一中学9月月考】函数24fxxx的单调减区间是()A.12,B.10-,C.02,D.23,【答案】D【解析】函数24224{,242xxxfxxxxxx()()<如图所示,∴函数的增区间为2(,)和3(,),减区间是23,.2故选D4.【2018届广东省省际名校(茂名市)联考(二)】设函数fx在R上为增函数,则下列结论一定正确的是()A.1yfx在R上为减函数B.yfx在R上为增函数C.1yfx在R上为增函数D.yfx在R上为减函数【答案】D【解析】A错,如3,yx1yfx在R上无单调性;B.错,如3,yxyfx在R上无单调性;C.错,如31,yxyfx在R上无单调性;故选D.5.【2018届宁夏石嘴山市4月(一模)】函数的减区间是()A.B.C.D.【答案】B【解析】令t=﹣x2+2x+3>0,求得﹣1<x<3,故函数的定义域为(﹣1,3),且y=lnt,故本题即求函数t在定义域内的减区间.再利用二次函数的性质求得t=﹣(x﹣1)2+4在定义域内的减区间为[1,3),故选:B.6.【2018届福建省莆田市第二次检测】设函数满足,且是上的增函数,则,,的大小关系是()A.B.C.D.【答案】A【解析】分析:首先根据题中条件,确定出函数图像的特征:关于直线对称;下一步利用幂函数以及指数函数的单调性,比较得出,下一步应用是3上的增函数,得到函数是的减函数,从而利用自变量的大小可出函数值的大小.详解:根据,可得函数的图像关于直线对称,结合是上的增函数,可得函数是的减函数,利用幂函数和指数函数的单调性,可以确定,所以,即,故选A.7.【山东省2018年普通高校招生(春季)】奇函数的局部图像如图所示,则()A.B.C.D.【答案】A8.【2018届山东、湖北部分重点中学冲刺(二)】一给定函数的图象在下列四个选项中,并且对任意,由关系式得到的数列满足.则该函数的图象可能是()A.B.C.D.4【答案】D【解析】由得,所以在上都成立,即,,所以函数图象都在的下方.故选D.9.【2018届湖南省衡阳县12月联考】若函数12xafxxaa的定义域与值域相同,则a()A.-1B.1C.0D.1【答案】B【解析】 函数12xafxxaa∴函数fx的定义域为,a 函数fx的定义域与值域相同∴函数fx的值域为,a 函数fx在,a上是单调减函数∴当xa时,12aafaaa,即1a故选B10.【2018浙教版高中数学高三二轮】已知函数f(x)=222,0{2,0xxxxxx若f(-a)+f(a)≤2f(1),则实数a的取值范围是()A.[0,1]B.[-1,0]C.[-1,1]D.[-1,0]【答案】C【解析】f(-a)+f(a)≤2f(1)⇔或5即或解得0≤a≤1,或-1≤a<0.故-1≤a≤1.选C.二、填空题:本大题共7小题,共36分.11.【2018届山西省榆社中学模拟】若函数在区间上的最大值为6,则_______.【答案】4【解析】由题意,函数在上为单调递增函数,又,且,所以当时,函数取得最大值,即,因为,所以.12.【2018届南京市联合体学校调研测试】已知函数12log,2{23,2xxxfxaax(其中0a且1)a的值域为R,则实数a的取值范围为_______【答案】1,1213....

1、当您付费下载文档后,您只拥有了使用权限,并不意味着购买了版权,文档只能用于自身使用,不得用于其他商业用途(如 [转卖]进行直接盈利或[编辑后售卖]进行间接盈利)。
2、本站所有内容均由合作方或网友上传,本站不对文档的完整性、权威性及其观点立场正确性做任何保证或承诺!文档内容仅供研究参考,付费前请自行鉴别。
3、如文档内容存在违规,或者侵犯商业秘密、侵犯著作权等,请点击“违规举报”。

碎片内容

(浙江专版)高考数学一轮复习 专题2.2 函数的单调性与值域(测)-人教版高三全册数学试题

确认删除?
VIP
微信客服
  • 扫码咨询
会员Q群
  • 会员专属群点击这里加入QQ群
客服邮箱
回到顶部