电脑桌面
添加小米粒文库到电脑桌面
安装后可以在桌面快捷访问

2025年零指数幂和负整数指数幂练习题及答案VIP免费

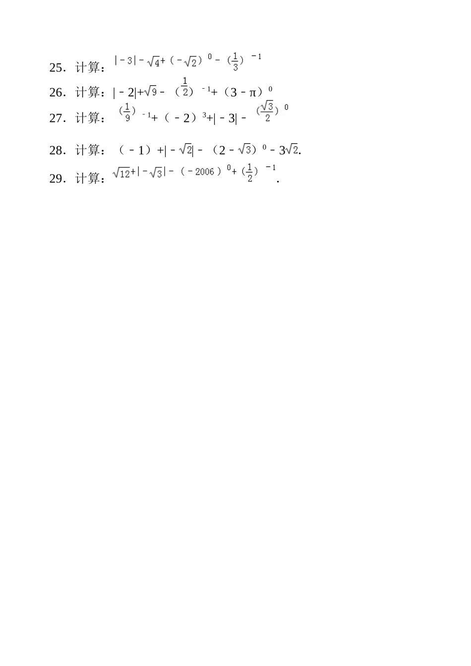
2025年零指数幂和负整数指数幂练习题及答案_第1页
1/10
2025年零指数幂和负整数指数幂练习题及答案_第2页
2/10
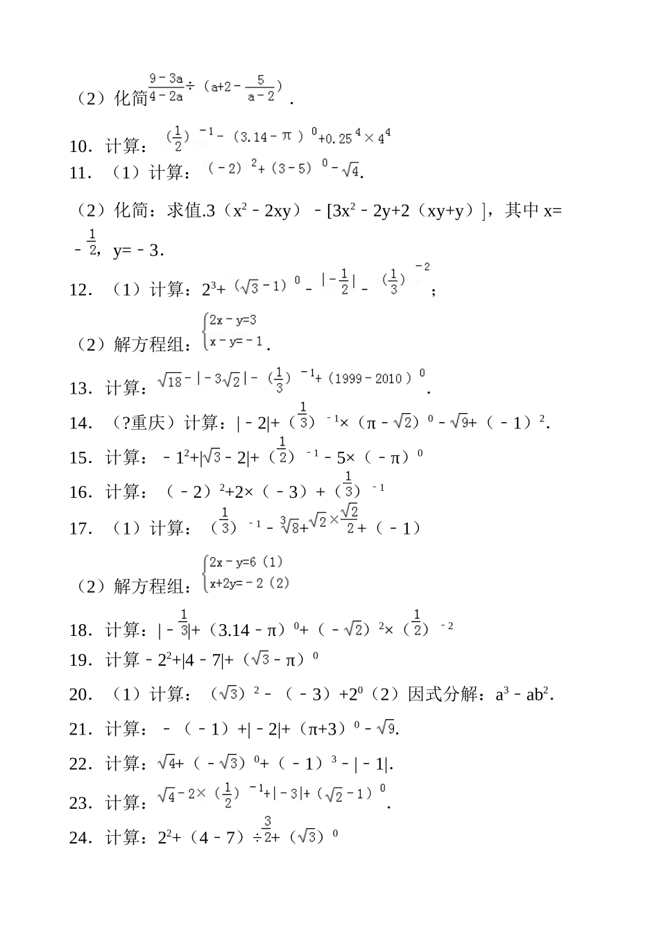
2025年零指数幂和负整数指数幂练习题及答案_第3页
3/10
零指数幂与负整数指数幂练习题及答案一.解答题(共30小题)1.计算:.=3-1x1+4x1=3-1+4=62.计算:=2+1+4-1=63.(1)计算:|3|﹣﹣+(π3.14﹣)0=3-4+1=0(2)先化简,再求值:(3+m)(3m﹣)+m(m4﹣)﹣7,其中m=4.计算:.5.计算:0+.6.计算:22﹣(﹣1)7.计算:.8.计算:.9.(1)计算|2|+﹣(﹣1)0﹣()﹣1﹣(﹣1)(2)化简.10.计算:11.(1)计算:.(2)化简:求值.3(x22xy﹣)﹣[3x22y+2﹣(xy+y)],其中x=﹣,y=3﹣.12.(1)计算:23+﹣﹣;(2)解方程组:.13.计算:.14.(?重庆)计算:|2|+﹣()﹣1×(π﹣)0﹣+(﹣1)2.15.计算:﹣12+|2|+﹣()﹣15×﹣(﹣π)016.计算:(﹣2)2+2×(﹣3)+()﹣117.(1)计算:()﹣1﹣++(﹣1)(2)解方程组:18.计算:|﹣|+(3.14π﹣)0+(﹣)2×()﹣219.计算﹣22+|47|+﹣(﹣π)020.(1)计算:()2﹣(﹣3)+20(2)因式分解:a3ab﹣2.21.计算:﹣(﹣1)+|2|+﹣(π+3)0﹣.22.计算:+(﹣)0+(﹣1)3|1|﹣﹣.23.计算:.24.计算:22+(47﹣)÷+()025.计算:26.计算:|2|+﹣﹣()﹣1+(3π﹣)027.计算:﹣1+(﹣2)3+|3|﹣﹣28.计算:(﹣1)+|﹣|﹣(2﹣)03﹣.29.计算:.30.计算:零指数幂与负整数指数幂练习题及答案参考答案与试题解析一.解答题(共30小题)1.计算:.解答:解:原式=31+4=6﹣.故答案为6.2.计算:解答:解:,=2+1+42﹣,=5.故答案为:5.3.(1)计算:|3|﹣﹣+(π3.14﹣)0(2)先化简,再求值:(3+m)(3m﹣)+m(m4﹣)﹣7,其中m=解答:解:(1)原式=34+1﹣=0;(2)原式=9m﹣2+m24m7﹣﹣=24m﹣,当m=时,原式=24×﹣=1.4.计算:.解答:解:原式=(﹣2)+1+2=1,故答案为1.5.计算:.解答:解:原式=2+3+11﹣=5.6.计算:22﹣(﹣1)0+.解答:解:原式=41+2=5﹣.7.计算:.解答:解:=1+31﹣﹣(﹣2)=5.故答案为5.8.计算:.解答:解:原式==.9.(1)计算|2|+﹣(﹣1)0﹣()﹣1﹣(﹣1)(2)化简.解答:解:(1)|2|+﹣(﹣1)0﹣()﹣1﹣(﹣1),=2+13+1﹣,=1;(2),=,=,=.10.计算:解答:解:原式=21+﹣(3分)=21+1﹣(5分)=2.(7分)11.(1)计算:.(2)化简:求值.3(x22xy﹣)﹣[3x22y+2﹣(xy+y)],其中x=﹣,y=3﹣.解答:解:(1)原式=4+12=3﹣.(2)原式=3x26xy3x﹣﹣2+2y2xy2y=8xy﹣﹣﹣当x=﹣,y=3﹣时,原式=8×﹣=12﹣.12.(1)计算:23+﹣﹣;(2)解方程组:.解答:(1)解:原式=8+1﹣9=﹣﹣;(2)解:①﹣②得:x=4代入②得:y=5∴方程组的解为.故答案为﹣、.13.计算:.解答:解:原式=33+1=2﹣﹣.14.(?重庆)计算:|2|+﹣()﹣1×(π﹣)0﹣+(﹣1)2.解答:解:原式=2+3×13+1=3﹣.故答案为3.15.计算:﹣12+|2|+﹣()﹣15×﹣(﹣π)0解答:解:原式=1﹣2+|2|+﹣()﹣15×﹣(﹣π)0=1+2﹣﹣+25=2﹣﹣﹣.故答案为﹣2﹣.16.计算:(﹣2)2+2×(﹣3)+()﹣1解答:解:∵(﹣2)2=4,()﹣1=3;∴(﹣2)2+2×(﹣3)+()﹣1=46+3=1﹣.故答案为1.17.(1)计算:()﹣1﹣++(﹣1)(2)解方程组:解答:解:(1)原式=32+11=1﹣﹣(2)(1)×2,得4x2y=12﹣(3),(2)+(3),得5x=10,x=2.把x=2代入(1),得y=2﹣∴原方程组的解为故答案为1、.18.计算:|﹣|+(3.14π﹣)0+(﹣)2×()﹣2解答:解:原式=+1+2×4=9.19.计算﹣22+|47|+﹣(﹣π)0解答:解:原式=4+3+1=0﹣.故答案为0.20.(1)计算:()2﹣(﹣3)+20(2)因式分解:a3ab﹣2.解答:解:(1)原式=3+3+1=7;(2)原式=a(a2b﹣2)=a(a+b)(ab﹣).故答案为7、a(a+b)(ab﹣).21.计算:﹣(﹣1)+|2|+﹣(π+3)0﹣.解答:解:﹣(﹣1)+|2|+﹣(π+3)0﹣=1+2+13﹣(6分)=1(8分)22.计算:+(﹣)0+(﹣1)3|1|﹣﹣.解答:解:原式=2+111=1﹣﹣.故答案为1.23.计算:.解答:解:原式=22×2+3+1=2﹣.24.计算:22+(47﹣)÷+()0解答:解:22+(47﹣)÷+()0=43×﹣+1=42+1﹣=3.25.计算:解答:解:原式=32+13﹣﹣(四种运算每错一种扣(2分),扣完(6分)为止)(6分)=1﹣.(8分)故答案为﹣1.26.计算:|2|+﹣﹣()﹣1+(3π﹣)0解答:解:原式=2+32+1=4﹣.故答案为4.27.计算:﹣1+(﹣2)3+|3|﹣﹣解答:解:原式=98+31=3﹣﹣.28.计算:(﹣1)+|﹣|﹣(2﹣)03﹣.解答:解:原式==.29.计算:.解答:解:==.30.计算:解答:解:原式=﹣+3+1|﹣﹣|=﹣+3+1﹣=3.

1、当您付费下载文档后,您只拥有了使用权限,并不意味着购买了版权,文档只能用于自身使用,不得用于其他商业用途(如 [转卖]进行直接盈利或[编辑后售卖]进行间接盈利)。
2、本站所有内容均由合作方或网友上传,本站不对文档的完整性、权威性及其观点立场正确性做任何保证或承诺!文档内容仅供研究参考,付费前请自行鉴别。
3、如文档内容存在违规,或者侵犯商业秘密、侵犯著作权等,请点击“违规举报”。

碎片内容

2025年零指数幂和负整数指数幂练习题及答案

确认删除?
VIP
微信客服
  • 扫码咨询
会员Q群
  • 会员专属群点击这里加入QQ群
客服邮箱
回到顶部