电脑桌面
添加小米粒文库到电脑桌面
安装后可以在桌面快捷访问

+两角和与差的三角函数VIP免费

+两角和与差的三角函数_第1页
1/2
+两角和与差的三角函数_第2页
2/2
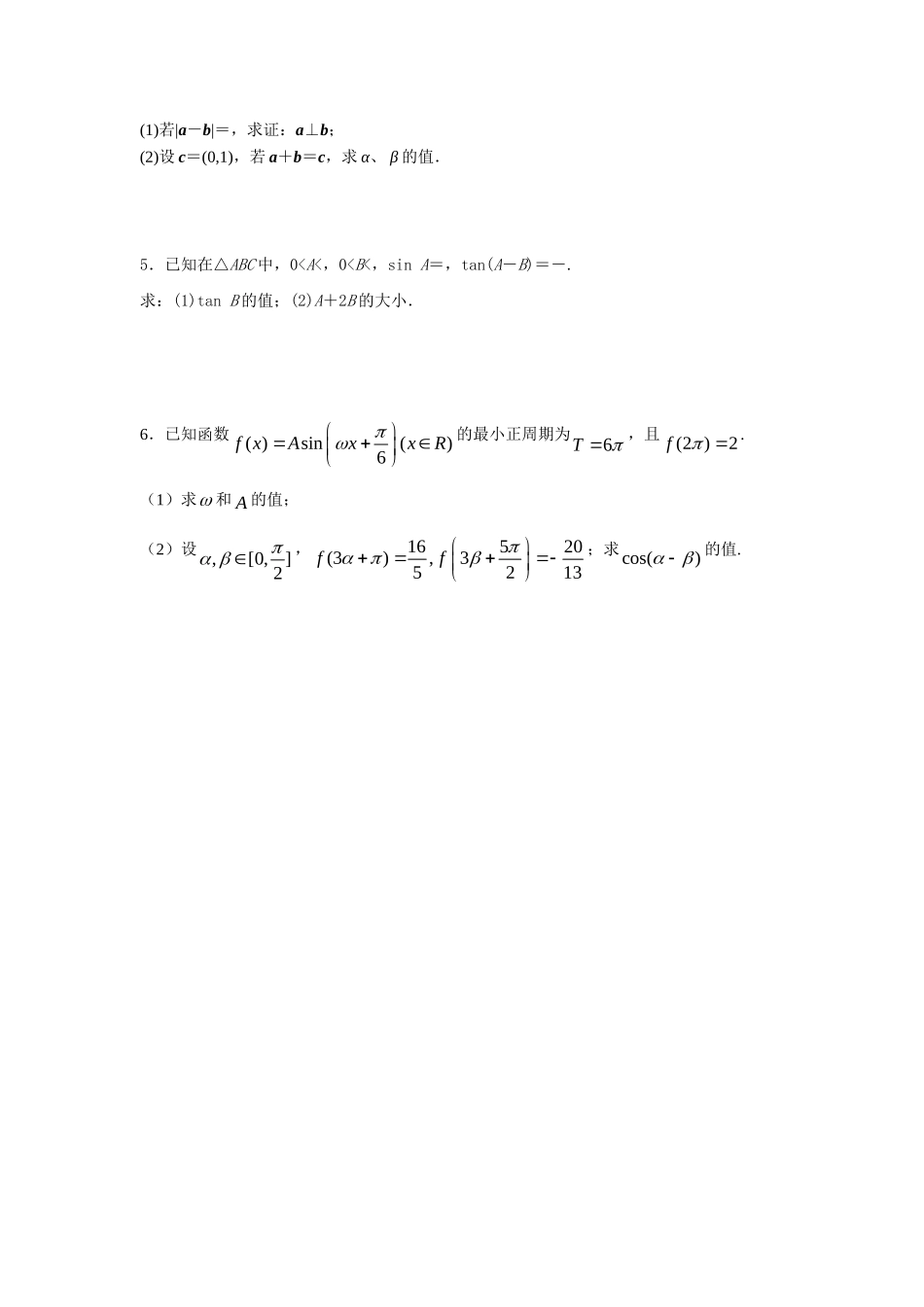
省栟中高一数学复习讲义编写:缪海军两角和与差的三角函数【课前预习】1.化简的结果为_______2.已知3cos(2α+β)+5cosβ=0,则tan(α+β)·tanα的值为3.函数f(x)=sin-2sin2x的最小正周期是________.4.设α为锐角,若cos=,则sin的值为______.5.函数f(x)=的定义域为(0,),则函数f(x)的值域为________.6.已知,则=▲.【典型例题】1.已知cosα-sinα=,且π<α<π,求的值.2.已知-<x<0,sinx+cosx=,求:(1)sinx-cosx的值;(2)求的值.3.已知+=,且α,β为锐角.求的值.4.已知向量a=(cosα,sinα),b=(cosβ,sinβ),0<β<α<π.(1)若|a-b|=,求证:a⊥b;(2)设c=(0,1),若a+b=c,求α、β的值.5.已知在△ABC中,0

1、当您付费下载文档后,您只拥有了使用权限,并不意味着购买了版权,文档只能用于自身使用,不得用于其他商业用途(如 [转卖]进行直接盈利或[编辑后售卖]进行间接盈利)。
2、本站所有内容均由合作方或网友上传,本站不对文档的完整性、权威性及其观点立场正确性做任何保证或承诺!文档内容仅供研究参考,付费前请自行鉴别。
3、如文档内容存在违规,或者侵犯商业秘密、侵犯著作权等,请点击“违规举报”。

碎片内容

+两角和与差的三角函数

您可能关注的文档

精品文库+ 关注
实名认证
内容提供者

小学学习各类资料大全

相关文档

确认删除?
微信客服
  • 扫码咨询
会员Q群
  • 会员专属群点击这里加入QQ群