电脑桌面
添加小米粒文库到电脑桌面
安装后可以在桌面快捷访问

物理:23《欧姆定律》VIP免费

物理:23《欧姆定律》物理:23《欧姆定律》物理:23《欧姆定律》物理:23《欧姆定律》物理:23《欧姆定律》
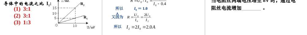
Unit2 恒定电流 既然在导体的两端加上电压,导体中才有电流,那么,导体中的电流跟导体两端的电压有什么关系呢?回顾:产生电流的条件?( 1 、自由电荷 2 、两端存在电压) 实验探究:实验目的:研究导体中的电流跟导体两端电压之间的定量关系实验原理:用电流表测导体中的电流,用电压表测导体两端的电压,观察和记录数据,在坐标系中作出 U-I 图像进行探究,找出规律 分压电路: ( 控制电路 ) 可以提供从零开始连续变化的电压实验电路ESRBAV测量电路 : 测导体 B 的电流、电压 学科网, zxxk.fenghuangxueyi 数据记录10U/I50.400.300.200.100.501.001.502.002.500.500.250.200.150.100.05电压( V )电流( A )电流( A ) B导体数据处理:做 U-I 图象1 、 U-I 图像是一条过原点的直线 ; A2 、同一导体,电压与电流的比值为定值 .IUOBA3 、不同导体,电压与电流的比值不同 .)( 为定值RIUR R 是一个只跟导体本身性质有关,而与两端电压及通过的电流无关的物理量。 导体两端的电压 U 与通过导体的电流 I 的比值(同体性)3 、定义式:4 、单位:1 、物理意义:2 、定义:兆欧( MΩ )千欧( kΩ )国际单位制中 欧姆( Ω )反映导体对电流的阻碍作用IUR 一、电 阻(R 只与导体本身性质有关 )3101k6101M5 、在 U-I 图中斜率的意义:IUOBA代表电阻 Ra>Rb=Rc>Rdk IUR1 、某同学对四个电阻各进行了一次测量 ,把每个电阻两端的电压和通过它的电流在U-I 坐标系中描点 , 得到了图中 a 、 b 、 c 、d 四个点 . 请比较这四个电阻值的大小 .OIUabcd课堂练习 RUI  二、欧姆定律1 、内容:导体中的电流 I 跟导体两端的电压 U成正比,跟导体的电阻 R 成反比. 2 、表达式 :3 、适用:金属导体和电解质溶液IUR  C. 从 可知,导体两端的电压为零时,导体的电阻也为零RUI/IUR/IUR/2 、对于欧姆定律,理解正确的是( )A. 从 可知,导体中的电流跟它两端的电压成正比,跟它的电阻成反比B. 从 可知,导体的电阻跟导体两端 的电压成正比,跟导体中的电流成反比D. 从 可知,对于一确定的导体,两端的电压跟通过导体的电流之比是定值AADD课堂练习IUR/ 三、伏安特性曲线 (I-U 图线 )1 、伏安特性曲线 (I-U 图线 ): 以纵坐标表示电流 I ,横坐标表示电压 U 图线斜率的物理意义是什么?电阻的倒数IUOBA 2 ...

1、当您付费下载文档后,您只拥有了使用权限,并不意味着购买了版权,文档只能用于自身使用,不得用于其他商业用途(如 [转卖]进行直接盈利或[编辑后售卖]进行间接盈利)。
2、本站所有内容均由合作方或网友上传,本站不对文档的完整性、权威性及其观点立场正确性做任何保证或承诺!文档内容仅供研究参考,付费前请自行鉴别。
3、如文档内容存在违规,或者侵犯商业秘密、侵犯著作权等,请点击“违规举报”。

碎片内容

物理:23《欧姆定律》

您可能关注的文档

百万精品文库+ 关注
实名认证
内容提供者

学习课件教案小学中学资料大全

相关文档

确认删除?
VIP
微信客服
  • 扫码咨询
会员Q群
  • 会员专属群点击这里加入QQ群
客服邮箱
回到顶部