电脑桌面
添加小米粒文库到电脑桌面
安装后可以在桌面快捷访问

哈尔滨师范大学数学考研真题数学分析VIP免费

哈尔滨师范大学数学考研真题数学分析_第1页
1/13
哈尔滨师范大学数学考研真题数学分析_第2页
2/13
哈尔滨师范大学数学考研真题数学分析_第3页
3/13
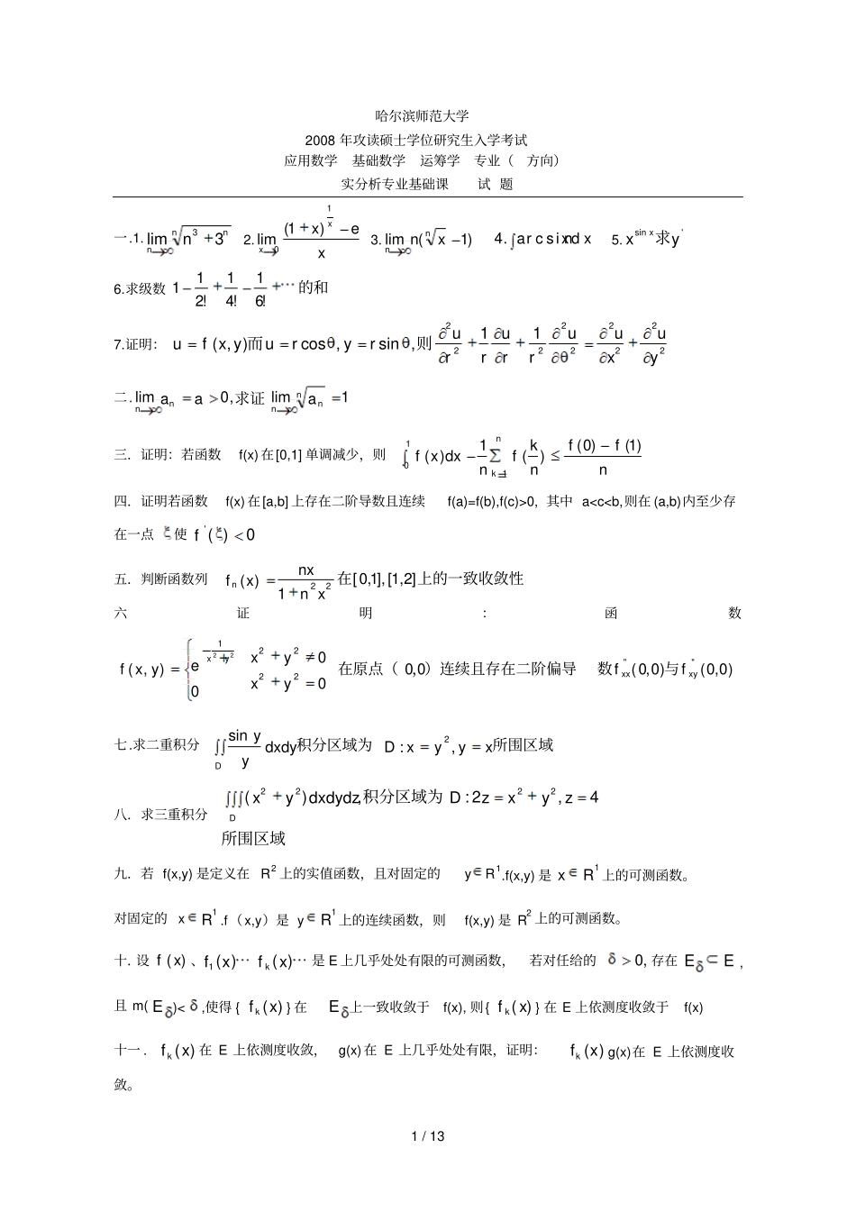
1 / 13 哈尔滨师范大学2008 年攻读硕士学位研究生入学考试应用数学基础数学运筹学专业(方向)实分析专业基础课试 题一.1.nnnn3lim32.xexxx10)1(lim3.)1(limnnxnxd xar c si n.45.'sinyxx求6.求级数的和!61!41!2117.证明:22222222211,sin,cos),(yuxuurrurruryruyxfu则而二.1lim,0limnnnnnaaa求证三.证明:若函数f(x) 在[0,1] 单调减少,则nffnkfndxxfnk)1()0()(1)(110四.证明若函数f(x) 在[a,b] 上存在二阶导数且连续f(a)=f(b),f(c)>0, 其中 a0)3.dtedtextxtx022022)(lim4.edxx1)sin(ln5.求级数nnn1)1(11的和6.设xey2sin,求'y7.设22yxz,求 y=f(x) 为由方程122yxyx所确定的的隐函数,求22,dxzddxdz二.设2,1),(21,0,0110nakaakannn,证明数列 {na }的极限存在且等于k三.若函数f(x) 在[a,b]可积,证明存在bxxadttfdttfbax)()(],[使得四.设函数f(x) 在[21 ,1]上连续,证明 {)(xfxn} 在[21 ,1] 一直收敛的充要条件是f(1)=0 五.设函数 f(x) 在 [0,1] 上可导,且 f(0)=0, 并对任意的)()(),1,0('xfxfx,则在 [0,1] 上 f(x)0)0.0(),0,0()0,0(),(,000),(.''''2222xyxxffyxfyxyxyxf的二阶偏导数在点求设函数六21222),(.xxxdyyxfdx序改变下面累次积分的次七所围成与是由曲面,其中,柱面坐标的累次积分化为直角坐标将三重积分八2,12)...

1、当您付费下载文档后,您只拥有了使用权限,并不意味着购买了版权,文档只能用于自身使用,不得用于其他商业用途(如 [转卖]进行直接盈利或[编辑后售卖]进行间接盈利)。
2、本站所有内容均由合作方或网友上传,本站不对文档的完整性、权威性及其观点立场正确性做任何保证或承诺!文档内容仅供研究参考,付费前请自行鉴别。
3、如文档内容存在违规,或者侵犯商业秘密、侵犯著作权等,请点击“违规举报”。

碎片内容

哈尔滨师范大学数学考研真题数学分析

您可能关注的文档

确认删除?
VIP
微信客服
  • 扫码咨询
会员Q群
  • 会员专属群点击这里加入QQ群
客服邮箱
回到顶部