电脑桌面
添加小米粒文库到电脑桌面
安装后可以在桌面快捷访问

从特殊到一般VIP免费

从特殊到一般_第1页
1/5
从特殊到一般_第2页
2/5
从特殊到一般_第3页
3/5
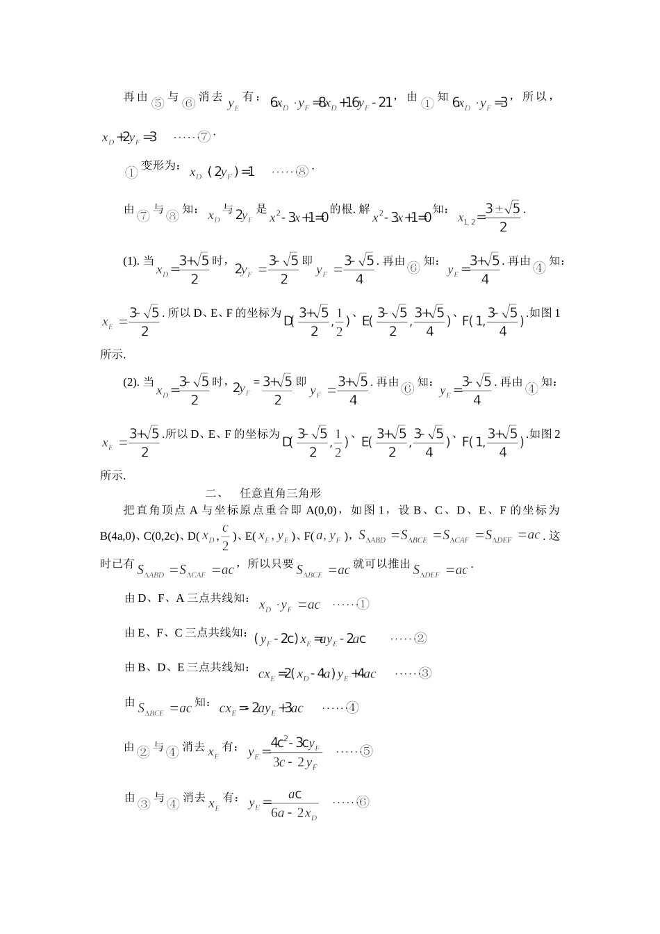
从特殊 到一般 ------------一个数学问题的研究 (西安美术学院临潼校区 陕西省小学教师培训中心 王凯成 710600)人教版小学数学课标教材五年级上册第 87 页第 7 题是:“把一个三角形分成四个面积相等的三角形,可以怎样分?你能想出几种方法?”把一个三角形分成四个面积相等的三角形,这涉及到三角形面积的剖分,能找到多少种小学生能理解的剖分方法呢?笔者在文[1]《一个剖分问题的分类研究》中找到了小学生能理解(利用“等底等高的两个三角形等积”的原理)的 106 种剖分方法. 实际上,还有 2 种剖分方法,要数形结合,用解析几何的方法.一、先找一个实例为了找到一个实例,首先选择一个特殊的直角三角形,如图 1 所示. 三角形 ABC 的 A CABDFE CABDFE点与坐标原点重合,B 点在 x 轴的正半轴上,C 点在 y 轴的正半轴上. A、B、C 的坐标依次是 A(0,0)、B(4,0)、C(0,2). 则三角形 ABC 的面积为 4. 如图 1,设, . 这时,只要再满足. 如图 1,由 D、F、A 三点共线知:由 E、F、C 三点共线知:由 B、D、E 三点共线知:由即知:,或 (由要么推出为负值,要么推出为负值,所以舍去).由与消去有:由与消去有:再由与消去有:,由知,所以,.变形为:.由与知:与是的根. 解知:.(1). 当时,即. 再由知:. 再由知:. 所以 D、E、F 的坐标为、、.如图 1所示.(2). 当时,=即. 再由知:. 再由知:.所以 D、E、F 的坐标为、、.如图 2所示.二、任意直角三角形把直角顶点 A 与坐标原点重合即 A(0,0),如图 1,设 B、C、D、E、F 的坐标为B(4a,0)、C(0,2c)、D(,)、E()、F(),. 这时已有,所以只要就可以推出. 由 D、F、A 三点共线知:由 E、F、C 三点共线知:由 B、D、E 三点共线知:由知:由与消去有:由与消去有:再由与消去有:变形为:由与知:与是的根. 解得:. (1). 当即时,即. 再由知:. 再 由知 :. 所 以 D 、 E 、 F 的 坐 标 为、、. 如图 1 所示.(2). 当即时,即. 再由知:. 再 由知 :. 所 以 D 、 E 、 F 的 坐 标 为、、. 如图 2 所示. 三、任意三角形对于三角形 ABC,不妨设,把 A 与坐标原点重合即 A(0,0),如图 3, ABCDFE CBADFE设、、、、,= . 这时已有,所以只要就可以推出.由 D、F、A 三点共线知:由 E、F、C 三点共线知:由 B、D、E 三点共线知:由知:由知: 由与消去有:由与消去有:再由与消去...

1、当您付费下载文档后,您只拥有了使用权限,并不意味着购买了版权,文档只能用于自身使用,不得用于其他商业用途(如 [转卖]进行直接盈利或[编辑后售卖]进行间接盈利)。
2、本站所有内容均由合作方或网友上传,本站不对文档的完整性、权威性及其观点立场正确性做任何保证或承诺!文档内容仅供研究参考,付费前请自行鉴别。
3、如文档内容存在违规,或者侵犯商业秘密、侵犯著作权等,请点击“违规举报”。

碎片内容

从特殊到一般

您可能关注的文档

精品文库+ 关注
实名认证
内容提供者

中小学课件教案小学资料大全

相关标签

确认删除?
VIP
微信客服
  • 扫码咨询
会员Q群
  • 会员专属群点击这里加入QQ群
客服邮箱
回到顶部