电脑桌面
添加小米粒文库到电脑桌面
安装后可以在桌面快捷访问

指数与指数幂运算二VIP免费

指数与指数幂运算二指数与指数幂运算二指数与指数幂运算二指数与指数幂运算二指数与指数幂运算二
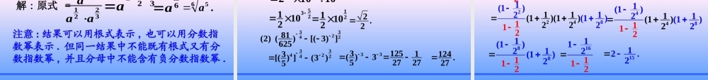
Friday, March 7, 2025Friday, March 7, 2025 §2.1.1 指数与指数幂的运算【 1 】下列说法中正确的序号是 ____________.(1)16 的四次方根是 2;(2) 正数的 n 次方根有两个 ;(3)a 的 n 次方根就是 ;n a4(4)813;33(5) (5)5;44(6) (81)81;33(7)( 8)8.(5) (6) (7)(8)【 2 】计算33323|()(0).|,||abbbaaab: 3.ab答案§2.1.1 指数与指数幂的运算【 2 】计算33323|()(0).|,||abbbaaab解:原式(]()([))baaabbabbaab3.ab||ab||ba||ab§2.1.1 指数与指数幂的运算(N )nnaaa aan      个☞ 整数指数幂是如何定义的?有何规定?01 (0)aa1 (0,N )nnaana§2.1.1 指数与指数幂的运算(1)(,Z)mnmnaaam n(2) ()(,Z)mnm naam n(4)(0 ,,Z,)mnm naaaam nmn且(5) ()(0,Z)nnnaabnbb☞ 整数指数幂有那些运算性质 ?(m,n ∈Z)(3) ()(,Z)nnnaba bm n()mnmnmnaaaaa 1()()nnnnnnaaa babbb§2.1.1 指数与指数幂的运算(1) 观察以下式子 , 并总结出规律 :(a > 0)510252(2 )21022 ;431233 (3 )31233 ;123 4344 ()aaa435102 525 ()aaa105a124 ;a结论 : 当根式的被开方数的指数能被根指数整除时 , 根式可以表示为分数指数幂的形式 .§2.1.1 指数与指数幂的运算(2) 利用 (1) 的规律 , 你能表示下列式子吗 ? 534类比类比354 ;357537 ;32a23;a97 a97 .a总结 : 当根式的被开方数的指数不能被根指数整除时 , 根式可以写成分数指数幂的形式 .§2.1.1 指数与指数幂的运算(3) 你能用方根的意义解释 (2) 的式子吗 ? 43 的 5 次方根是 354 ;75 的 3 次方根是 537 ;a2 的 3 次方根是 23;aa9 的 7 次方根是 97 .a353544 ;535377 ;2323;aa9977 .aa结果表明 : 方根的结果与分数指数幂是相通的 .综上 , 我们得到正数的正分数指数幂的意义 .§2.1.1 指数与指数幂的运算3. 规定 0 的正分数指数幂为 0,0 的负分数指数幂没有意义 .mmnnaa且11(0,,N ,1)mnmnmnaam nnaa1. 正数的正分数指数幂的意义:2. 正数的负分数指数幂的意义:(0,,N ,1)am nn且§2.1.1 指数与...

1、当您付费下载文档后,您只拥有了使用权限,并不意味着购买了版权,文档只能用于自身使用,不得用于其他商业用途(如 [转卖]进行直接盈利或[编辑后售卖]进行间接盈利)。
2、本站所有内容均由合作方或网友上传,本站不对文档的完整性、权威性及其观点立场正确性做任何保证或承诺!文档内容仅供研究参考,付费前请自行鉴别。
3、如文档内容存在违规,或者侵犯商业秘密、侵犯著作权等,请点击“违规举报”。

碎片内容

指数与指数幂运算二

您可能关注的文档

中小学教育精品资料+ 关注
实名认证
内容提供者

中小学教育资料,优质文档创作者

相关文档

相关标签

确认删除?
VIP
微信客服
  • 扫码咨询
会员Q群
  • 会员专属群点击这里加入QQ群
客服邮箱
回到顶部