电脑桌面
添加小米粒文库到电脑桌面
安装后可以在桌面快捷访问

八年级数学下册_分式混合运算专题练习(无答案)人教新课标版VIP免费

八年级数学下册_分式混合运算专题练习(无答案)人教新课标版_第1页
1/6
八年级数学下册_分式混合运算专题练习(无答案)人教新课标版_第2页
2/6
八年级数学下册_分式混合运算专题练习(无答案)人教新课标版_第3页
3/6
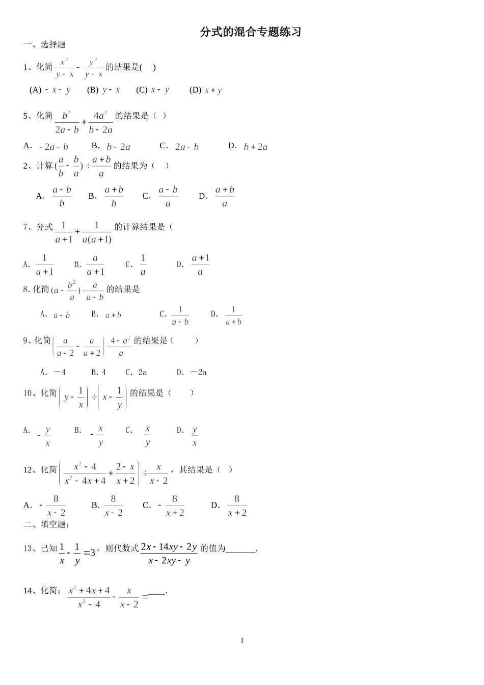
分式的混合专题练习一、选择题1、化简的结果是( ) (A) (B) (C) (D) 5、化简的结果是( )A.B.C.D.2、计算的结果为( )A. B. C. D.7、分式的计算结果是( A.B.C.D.8.化简的结果是A.B.C.D.9、化简的结果是()A.-4B.4C.2aD.-2a10、化简的结果是( )A.B. C.D.12、化简,其结果是( )A.B.C.D.二、填空题:13、已知 113xy ,则代数式 21422xxyyxxyy的值为 .14、化简: .115、化简: 2111xxxx .16、化简: .17、已知,则=__________.。18、化简:=_______19、 已知 111abab, baab的值 。三.计算下列各题:(1) (2). (3) (4) -x-1 (5)-+,(6) ⑺ ⑻ ⑼ ⑽ -. (11).2四.已知 x 为整数,且为整数,求所有的符合条件的 x 的值的和.五、混合运算:⑴ ⑵ ⑶ ⑷ ⑸ ⑹ ⑺ ⑻ ⑼⑽ (+2)÷ ⑾ ⑿ 六、化简并求值1、.计算:,并求当时原式的值.32、求代数式的值:,其中.3、先化简,再求值:,其中4、在解题目:“当时,求代数式 的值”时,聪聪认为只要任取一个使原式有意义的值代入都有相同结果.你认为他说的有理吗?请说明理由.5、先化简,再取一个你喜欢的数代入求值:6、 已知,求的值.七. 比较 M、N、P 的大小,其中 MnnNnnPnn111,,(n 1)。4九、用你发现的规律解答下列问题. ┅┅(1) 计算 .(2)探究 .(用含有的式子表示)(3)若 的值为,求的值.十、课堂上,李老师出了这样一道题:已知,求代数式的值。小明觉得直接代入计算太繁了,请你来帮他解决,并写出具体过程。 十一、 计算:2323xxyxyxxyxyx  十二、先化简,再求值:.56

1、当您付费下载文档后,您只拥有了使用权限,并不意味着购买了版权,文档只能用于自身使用,不得用于其他商业用途(如 [转卖]进行直接盈利或[编辑后售卖]进行间接盈利)。
2、本站所有内容均由合作方或网友上传,本站不对文档的完整性、权威性及其观点立场正确性做任何保证或承诺!文档内容仅供研究参考,付费前请自行鉴别。
3、如文档内容存在违规,或者侵犯商业秘密、侵犯著作权等,请点击“违规举报”。

碎片内容

八年级数学下册_分式混合运算专题练习(无答案)人教新课标版

您可能关注的文档

百万精品文库+ 关注
实名认证
内容提供者

学习课件教案小学中学资料大全

相关文档

确认删除?
VIP
微信客服
  • 扫码咨询
会员Q群
  • 会员专属群点击这里加入QQ群
客服邮箱
回到顶部