电脑桌面
添加小米粒文库到电脑桌面
安装后可以在桌面快捷访问

中小学英语中级VIP免费

中小学英语中级_第1页
1/10
中小学英语中级_第2页
2/10
中小学英语中级_第3页
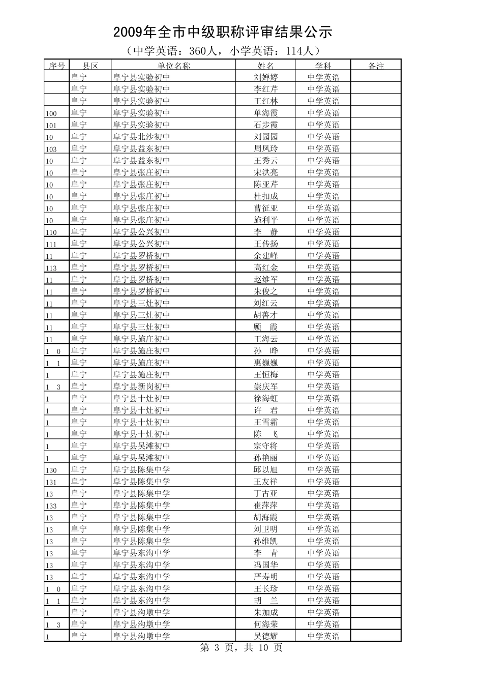
3/10
序号县区单位名称姓名学科备注1响水 江苏省响水中学崔玲玲 中学英语2响水 响水县第二中学吴树梅 中学英语3响水 响水县第二中学张艳艳 中学英语4响水 响水县小尖中学韩红娟 中学英语5响水 响水县小尖中学赵巍巍 中学英语6响水 响水县张集中学邱金林 中学英语7响水 响水县运河中学陈秀芹 中学英语8响水 响水县运河中学董效春 中学英语9响水 响水县运河中学韩睿姝 中学英语10响水 响水县运河中学张 飞 中学英语11响水 响水县六套中学李兆梅 中学英语12响水 响水县六套中学沈善云 中学英语13响水 响水县七套中学单 兵中学英语14响水 响水县大有中学张 雷中学英语15响水 响水县陈家港中学许 婧中学英语16响水 响水县陈家港中学许立美中学英语17响水 响水县南河中学刘 华中学英语18响水 响水县南河中学张红玲 中学英语19响水 响水县大有中学高艳云 中学英语20响水 响水县大有中学龚晓平中学英语21响水 响水县第二中学刘建娟 中学英语22滨海滨海县五汛中学刘立旺中学英语23滨海滨海县五汛中学张燕宁中学英语24滨海滨海县五汛中学梁为干中学英语25滨海滨海县蔡桥初级中学王德远中学英语26滨海滨海县蔡桥初级中学赵亚东中学英语27滨海滨海县正红初级中学姜志红 中学英语28滨海滨海县獐沟中学陈 荷中学英语29滨海滨海县獐沟中学钱文兰中学英语30滨海滨海县陈铸初级中学王治兵中学英语31滨海滨海县陈铸初级中学吴文军中学英语32滨海滨海县通榆初级中学顾 亚中学英语33滨海滨海县通榆初级中学陈海军中学英语34滨海滨海县大套中学孟亚芹 中学英语35滨海滨海县坎南初级中学王海燕中学英语36滨海滨海县坎南初级中学贾炼炼中学英语37滨海滨海县坎北初级中学陈小虎中学英语38滨海滨海县坎北初级中学夏 娴中学英语39滨海滨海县界牌初级中学马爱东中学英语40滨海滨海县陆集中学王奎山中学英语41滨海滨海县陆集中学张雪康中学英语42滨海滨海县陆集中学黄金科 中学英语43滨海滨海县陈涛中学沈秀梅 中学英语44滨海滨海县陈涛中学李 跃中学英语45滨海滨海县陈涛中学邱雪峰中学英语46滨海滨海县八滩第二中学薛长登中学英语47滨海滨海县八滩第二中学朱春林 中学英语48滨海滨海县振东初级中学陈海艳 中学英语2009年全市中级职称评审结果公示(中学英语:360人,小学英语:114人)第 1 页,共 10 页序号县区单位名称姓名学科备注2009年全市中级职称评审结果公示(中学英语:360人,小学英语:114人)49滨海 滨海县振...

1、当您付费下载文档后,您只拥有了使用权限,并不意味着购买了版权,文档只能用于自身使用,不得用于其他商业用途(如 [转卖]进行直接盈利或[编辑后售卖]进行间接盈利)。
2、本站所有内容均由合作方或网友上传,本站不对文档的完整性、权威性及其观点立场正确性做任何保证或承诺!文档内容仅供研究参考,付费前请自行鉴别。
3、如文档内容存在违规,或者侵犯商业秘密、侵犯著作权等,请点击“违规举报”。

碎片内容

中小学英语中级

您可能关注的文档

确认删除?
VIP
微信客服
  • 扫码咨询
会员Q群
  • 会员专属群点击这里加入QQ群
客服邮箱
回到顶部