电脑桌面
添加小米粒文库到电脑桌面
安装后可以在桌面快捷访问

高中数学 1.2.5 解三角形复习课练习 新人教A版必修5-新人教A版高二必修5数学试题VIP免费

高中数学 1.2.5 解三角形复习课练习 新人教A版必修5-新人教A版高二必修5数学试题_第1页
1/3
高中数学 1.2.5 解三角形复习课练习 新人教A版必修5-新人教A版高二必修5数学试题_第2页
2/3
高中数学 1.2.5 解三角形复习课练习 新人教A版必修5-新人教A版高二必修5数学试题_第3页
3/3
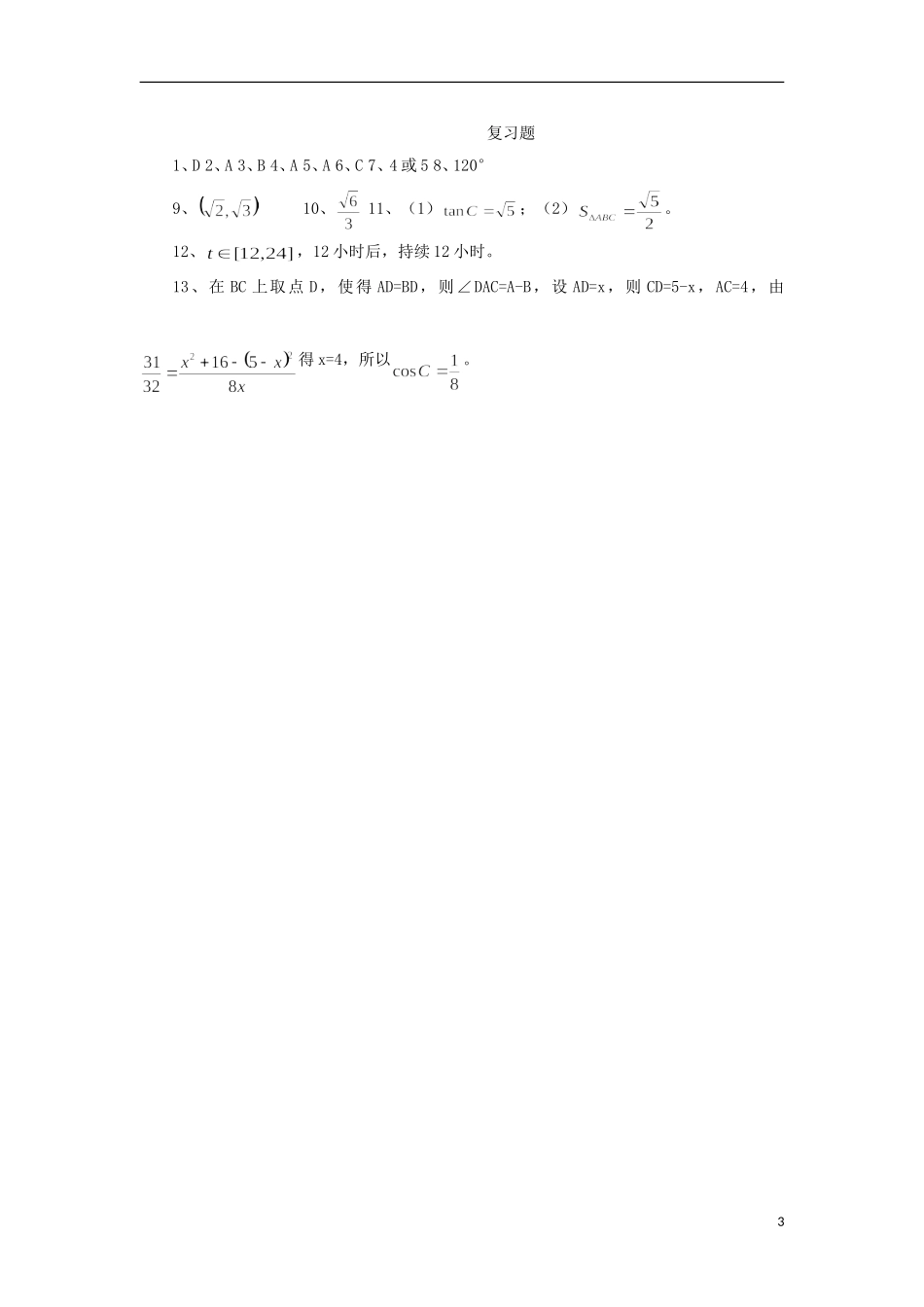
复习课一、选择题1、在△ABC 中,,,B=30°,则()(A)(B)(C)或(D)或2、在△ABC 中,,,则 A=()(A)30°(B)60°(C)120°(D)150°3、在锐角三角形△ABC 中,一定有()(A)(B)(C)(D)4、在△ABC 中,,,则 C=()(A)30°(B)150°(C)30°或 150° (D)60°或 120°5、在△ABC 中,,,则此三角形一定是()(A)锐角三角形(B)直角三角形(C)钝角三角形(D)无法确定6、在△ABC 中,,,C=70°,则()(A)(B)(C)(D)1二、填空题7、在△ABC 中,AB=,AC=5,,则 BC=______。8、设三角形的三条边长分别为 、、,则最大角与最小角的和为______。9、在锐角△ABC 中,BC=1,B=2A,则边 AC 的取值范围是______。10、在△ABC 中,C=90°,M 是 BC 中点,且,则______。三、解答题11、在△ABC 中,,。(1)求;(2)若,求。112、在某海滨城市附近海面有一台风,据检测,当前台风中心位于城市 O(如图)的东偏南方向 300 km 的海面 P 处,并以 20 km / h 的速度向西偏北的方向移动,台风侵袭的范围为圆形区域,当前半径为 60 km ,并以 10 km / h 的速度不断增加,问几小时后该城市开始受到台风的侵袭?持续多长时间?13、在△ABC 中,,,,求的值。2ABCDA-B复习题1、D 2、A 3、B 4、A 5、A 6、C 7、4 或 5 8、120°9、10、11、(1);(2)。12、,12 小时后,持续 12 小时。13、在 BC 上取点 D,使得 AD=BD,则∠DAC=A-B,设 AD=x,则 CD=5-x,AC=4,由得 x=4,所以。3

1、当您付费下载文档后,您只拥有了使用权限,并不意味着购买了版权,文档只能用于自身使用,不得用于其他商业用途(如 [转卖]进行直接盈利或[编辑后售卖]进行间接盈利)。
2、本站所有内容均由合作方或网友上传,本站不对文档的完整性、权威性及其观点立场正确性做任何保证或承诺!文档内容仅供研究参考,付费前请自行鉴别。
3、如文档内容存在违规,或者侵犯商业秘密、侵犯著作权等,请点击“违规举报”。

碎片内容

高中数学 1.2.5 解三角形复习课练习 新人教A版必修5-新人教A版高二必修5数学试题

海博书城+ 关注
实名认证
内容提供者

从事历史教学,热爱教育,高度负责。

确认删除?
VIP
微信客服
  • 扫码咨询
会员Q群
  • 会员专属群点击这里加入QQ群
客服邮箱
回到顶部