电脑桌面
添加小米粒文库到电脑桌面
安装后可以在桌面快捷访问

浙江省医疗服务价格VIP免费

浙江省医疗服务价格_第1页
1/14
浙江省医疗服务价格_第2页
2/14
浙江省医疗服务价格_第3页
3/14
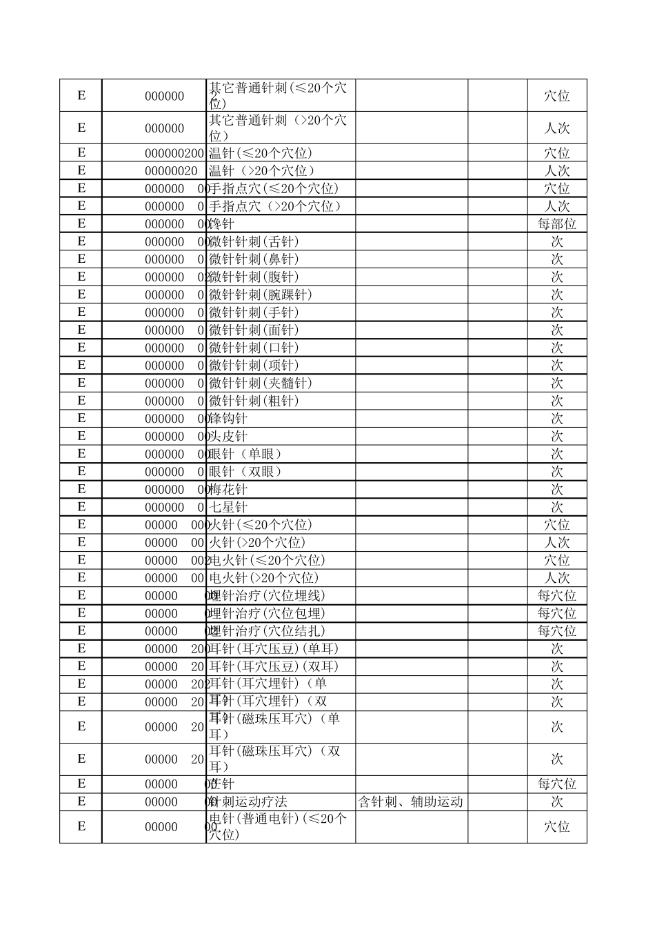
本类说明:、中医骨伤、针刺、灸法、推拿疗法、中医肛肠、中医特殊疗法、中医综合类。同的诊疗项目,需在相应的西医诊疗项目中查找,不在此重复列项。财务分类 编码项目名称项目内涵除外内容 计价单位41(一)中医外治含药物调配、材料 药物E41000000100 贴敷疗法每创面E41000000200 中药化腐清创术 每创面E41000000300 中药涂擦治疗(10%体表面积) 次E41000000301 中药涂擦治疗(>10%体表面积)次E41000000400 中药热奄包治疗 每部位E41000000500 中药封包治疗 每部位E41000000600 中药熏洗治疗 局部E41000000601 中药熏洗治疗(半身)次E41000000602中药熏洗治疗(全身)次E41000000700 中药蒸汽浴治疗(30分钟) 次E41000000701 中药蒸汽浴治疗(>30分钟)人次E41000000800 中药塌渍治疗(10%体表面积) 次E41000000801 中药塌渍治疗(>10%体表面积)次E41000000900 中药熏药治疗 次E41000001000 赘生物中药腐蚀治疗(每赘生物) 次E41000001100 挑治人次E41000001200 割治人次42(二)中医骨伤不含X光透视、麻醉。部分项目参见肌肉骨骼系统手术E42000000200骨折橇拨复位术 次E42000000300 骨折经皮钳夹复位术 次E42000000400骨折闭合复位经皮穿刺(钉)内固定术含手法复位 次E42000000401骨折闭合复位经皮穿刺(钉)内固定术四肢长骨干、近关节加收含手法复位次E42000000500关节脱位手法整复术 次E42000000501陈旧性脱位关节脱位手法整复术次E42000000502髋关节脱位手法整复术次E42000000503下颌关节脱位手法整复术次 四、中医及民族医诊疗类E42000000504指(趾)间关节脱位手法整复术次E42000000600 骨折外固定架固定术指非穿针外固定术,含整复固定 次E42000000601骨折外固定架固定术复查调整次E42000000700 骨折夹板外固定含整复固定次E42000000701骨折夹板外固定复查调整含整复固定次E42000000800 关节错缝术次E42000000900 麻醉下腰椎间盘突出症大手法治疗含 X光透视、麻醉导管次E42000001100关节粘连传统松解术次E42000001300中医定向透药疗法指使用激光微孔、电致孔、超声空化等技术手段进行的超声电导靶位透药治疗人次E42000001500腱鞘囊肿挤压术含加压包扎次E42000001600骨折畸形愈合手法折骨整复固定术含折骨过程,重新整复及固定过程次E42000001700腰间盘三维牵引复位术指在三维牵引床下完成的复位术次43(三)针刺 E43000000100普通针刺(体针)(≤20个穴位)穴位E43000000101普通针刺(体针)(>20...

1、当您付费下载文档后,您只拥有了使用权限,并不意味着购买了版权,文档只能用于自身使用,不得用于其他商业用途(如 [转卖]进行直接盈利或[编辑后售卖]进行间接盈利)。
2、本站所有内容均由合作方或网友上传,本站不对文档的完整性、权威性及其观点立场正确性做任何保证或承诺!文档内容仅供研究参考,付费前请自行鉴别。
3、如文档内容存在违规,或者侵犯商业秘密、侵犯著作权等,请点击“违规举报”。

碎片内容

浙江省医疗服务价格

您可能关注的文档

小辰8+ 关注
实名认证
内容提供者

出售各种资料和文档

确认删除?
VIP
微信客服
  • 扫码咨询
会员Q群
  • 会员专属群点击这里加入QQ群
客服邮箱
回到顶部