电脑桌面
添加小米粒文库到电脑桌面
安装后可以在桌面快捷访问

届高三数学复习解三角形VIP免费

届高三数学复习解三角形_第1页
1/5
届高三数学复习解三角形_第2页
2/5
届高三数学复习解三角形_第3页
3/5
解三角形必修 5 第 1 章 解三角形§1.1 正弦定理、余弦定理重难点:理解正、余弦定理的证明,并能解决一些简单的三角形度量问题.考纲要求:①掌握正弦定理、余弦定理,并能解决一些简单的三角形度量问题.经典例题:半径为R的圆外接于△ ABC,且 2R(sin2A-sin2C) =(3 a- b)sin B.(1) 求角 C;(2) 求△ ABC面积的最大值.当堂练习:1.在△ ABC中,已知 a=52 , c=10, A=30° , 则∠ B= ( ) (A) 105° (B) 60° (C) 15° (D) 105° 或 15°2 在△ ABC中,若 a=2, b=22 , c=6 +2 , 则 ∠A 的度数是 ( ) (A) 30 ° (B) 45° (C) 60° (D) 75°3.在△ ABC中,已知三边a、b、c 满足 (a+b+c) ·(a+b -c)=3ab, 则∠ C=( ) (A) 15 ° (B) 30° (C) 45° (D) 60°4.边长为 5、7、8 的三角形的最大角与最小角之和为 ( ) (A) 90 ° (B) 120° (C) 135° (D) 150°5.在△ ABC中,∠ A=60° , a=6 , b=4, 那么满足条件的△ABC ( ) (A) 有 一个解 (B) 有两个解 (C) 无解 (D)不能确定6.在平行四边形ABCD中, AC= 3 BD, 那么锐角 A 的最大值为 ( ) (A) 30 ° (B) 45° (C) 60° (D) 75°7. 在△ ABC中,若cos2aA=cos2bB=cos2cC,则△ ABC的形状是 ( ) (A) 等腰三角形 (B) 等边三角形 (C) 直角三角形 (D) 等腰直角三角形8.如果把直角三角形的三边都增加同样的长度,则这个新的三角形的形状为()(A) 锐角三角形 (B) 直角三角形 (C) 钝角三角形 (D) 由增加的长度决定9.在△ ABC中,若 a=50, b=256 , A=45 ° 则 B= . 10.若平行四边形两条邻边的长度分别是46 cm 和 43 cm ,它们的夹角是45° ,则这个平行四边形的两条对角线的长度分别为 . 11. 在 等腰 三角 形ABC 中 , 已知sinA ∶ sinB=1 ∶ 2 , 底边BC=10,则 △ ABC 的周 长是。12.在△ ABC中,若∠ B=30° , AB=23 , AC=2, 则△ ABC的面积是 . 13.在锐角三角形中, 边 a、b 是方程 x2-23 x+2=0 的两根, 角 A、B满足 2sin(A+B) -3 =0,求角 C的度数,边c 的长度及△ ABC的面积。14.在△ ABC中,已知边c=10, 又知cosAcosB =ba =43 ,求 a、b 及△ ABC的内切圆的半径。15.已知在四边形ABCD中, BC=a,DC=2a,四个角 A、B、C、 D度数的比为3∶7∶4∶10,求 AB的长。...

1、当您付费下载文档后,您只拥有了使用权限,并不意味着购买了版权,文档只能用于自身使用,不得用于其他商业用途(如 [转卖]进行直接盈利或[编辑后售卖]进行间接盈利)。
2、本站所有内容均由合作方或网友上传,本站不对文档的完整性、权威性及其观点立场正确性做任何保证或承诺!文档内容仅供研究参考,付费前请自行鉴别。
3、如文档内容存在违规,或者侵犯商业秘密、侵犯著作权等,请点击“违规举报”。

碎片内容

届高三数学复习解三角形

您可能关注的文档

确认删除?
VIP
微信客服
  • 扫码咨询
会员Q群
  • 会员专属群点击这里加入QQ群
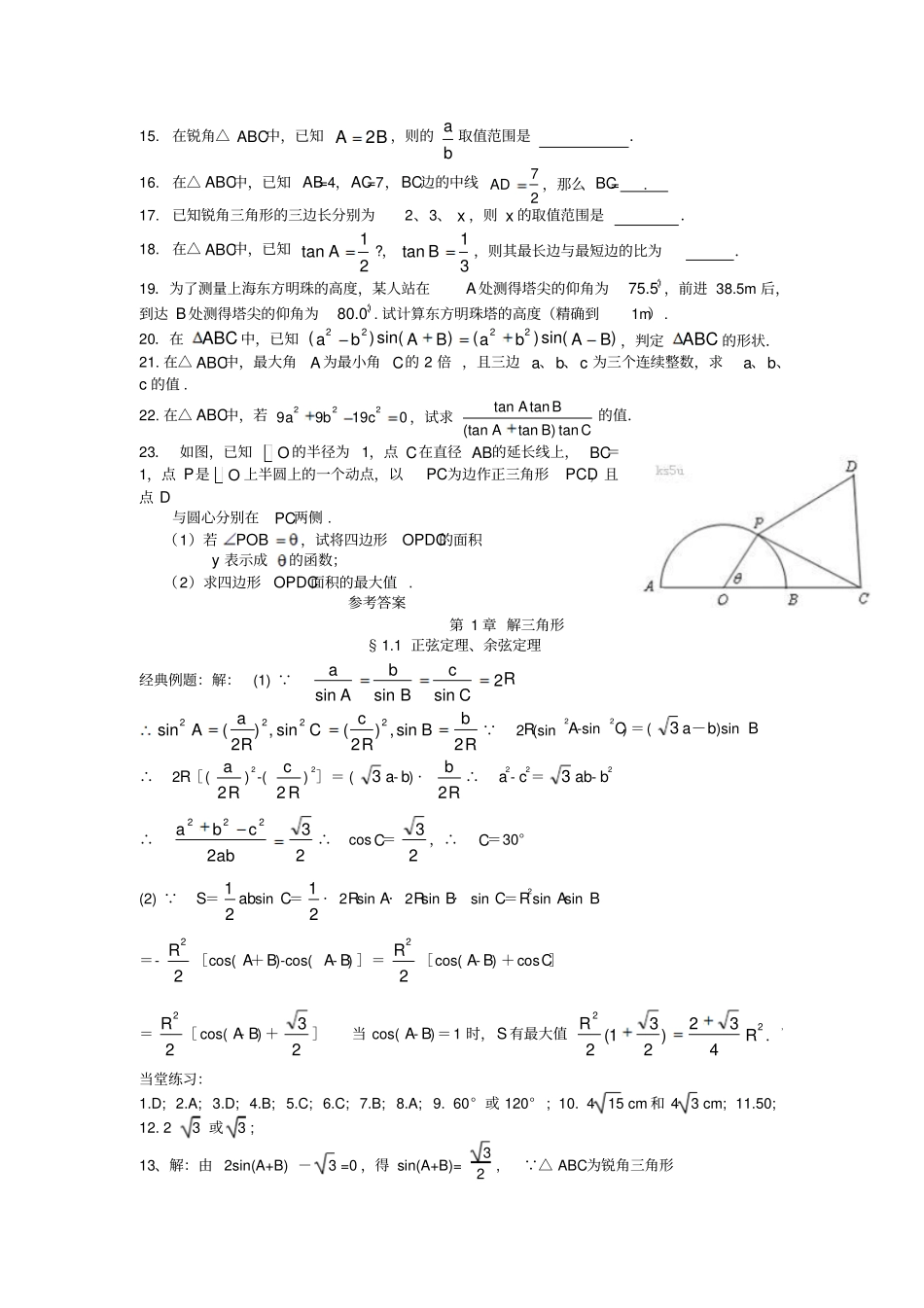
客服邮箱
回到顶部