电脑桌面
添加小米粒文库到电脑桌面
安装后可以在桌面快捷访问

山东青岛二中2019~2020学年上学期第一学段期中高2020届高2017级高三模块考试高三数学试题参考答案VIP免费

山东青岛二中2019~2020学年上学期第一学段期中高2020届高2017级高三模块考试高三数学试题参考答案_第1页
1/4
山东青岛二中2019~2020学年上学期第一学段期中高2020届高2017级高三模块考试高三数学试题参考答案_第2页
2/4
山东青岛二中2019~2020学年上学期第一学段期中高2020届高2017级高三模块考试高三数学试题参考答案_第3页
3/4
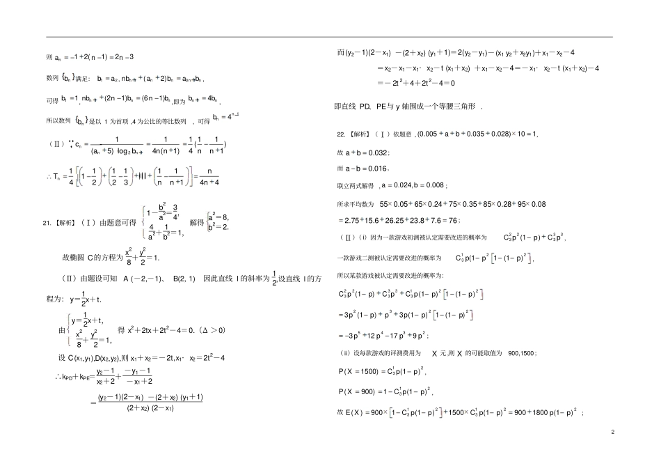
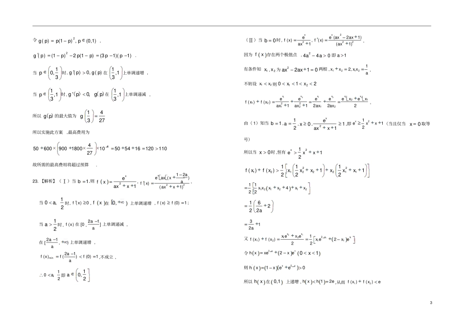
1 青岛二中 2019— 2020 学年第一学期第一学段期中高三模块考试——(数学)试题答案答案: 1~10.DBCAA BCBDA 11.ABC 12.BC 13.BCD 14. 2a 15.12 16.16 17.e 18. 【解析】(Ⅰ)在ABC中 ,由余弦定理得2221cos24ABBCACABCAB BC. 所以15sin4ABC. 因为角 D 与角 B 互补 , 所以15sinsin4ADCABC,1coscos4ADCABC. 又32AD CD, 所以3cos2AD CDADCDADC,即6ADCD, 所以13 15sin24ACDSADCDADC. (Ⅱ)在ACD 中,由余弦定理得2222cosACADCDAD CDADC , 所以2222cos12ADCDACAD CDADC, 所以2 6ADCD, 所以ACD 的周长为2 63ADCDAC. 19. 【解析】(Ⅰ)证明:在中,又平面平面 ABCD 平面平面 ABCD=AD,平面 PAD, 又( Ⅱ)如图 ,作于点 O, 则平面 ABCD 过点 O 作于点 E,连接 PE, 以 O 为坐标原点 ,以 OA,OE,OP 所在直线为x 轴, y 轴,z 轴建立空间直角坐标系, 则由( 1)知平面 DBC 的一个法向量为设平面 PBC 的法向量为则取设平面 DBC 与平面 PBC 所成二面角的平面角为则20. 【解析】 (Ⅰ)等差数列 {}na的公差设为 d ,前 n 项和为nS ,且120aa,515S, 可得120ad,151015ad,解得11a,2d, ABD2,2 3,3ADBDBADADBDPADPADABCDBD面BDPADPD面BDPDPOADPOOEBC1,0,0 ,1,23,0 ,0,0,3 ,3,23,0DBpC1, 2 3,3 ,2,0,0BPBC0,0,1, ,nx y z00n BCn BP202 330xxyz即0,1,2 ,n2 5cos52 则12(1)23nann数列nb满足:12ba ,131(2)nnnnnnbabab , 可得11b,1(21)(61)nnnnbnbnb ,即为14nnbb , 所以数列nb是以 1 为首项 ,4 为公比的等比数列, 可得14nnb(Ⅱ)21111 11()(5) log4 (1)41nnncabn nnn11111114223144nnTnnn21. 【解析】(Ⅰ)由题意可得1-b2a2=34,4a2+ 1b2=1,解得 a2=8,b2=2.故椭圆 C的方程为 x28+y22=1. (Ⅱ)由题设可知A (-2,-1)、 B(2, 1) 因此直线 l 的斜率为 12,设直线 l 的方程为: y=12x+t. 由y=12x+t,x28+ y22=1,得 x2+2tx+2t2-4=0.(Δ >0)设 C (x1,y1),D(x2,y2),则 x1+x2=-2t,x1· x2=2t2-4 ∴kPD+kPE=y2-1x2+2+-y1-1-x1+2=(y2-1)(2-x1) -(2+x2) (y1+1)(2+x2) (2-x1)而(y2-1)(2-x1) -(2+x2) (y1+1)=2(y2-y1)-(x1 y2+x2y1)+x1-x2-4 =x2-x1-x1· x2-t (x1+x2) +x1-x2-4=-x1· x2-t (x1+x2)-4 =- 2t 2+4+2t 2-4=0 即直线 PD、...

1、当您付费下载文档后,您只拥有了使用权限,并不意味着购买了版权,文档只能用于自身使用,不得用于其他商业用途(如 [转卖]进行直接盈利或[编辑后售卖]进行间接盈利)。
2、本站所有内容均由合作方或网友上传,本站不对文档的完整性、权威性及其观点立场正确性做任何保证或承诺!文档内容仅供研究参考,付费前请自行鉴别。
3、如文档内容存在违规,或者侵犯商业秘密、侵犯著作权等,请点击“违规举报”。

碎片内容

山东青岛二中2019~2020学年上学期第一学段期中高2020届高2017级高三模块考试高三数学试题参考答案

爱的疯狂+ 关注
实名认证
内容提供者

该用户很懒,什么也没介绍

确认删除?
VIP
微信客服
  • 扫码咨询
会员Q群
  • 会员专属群点击这里加入QQ群
客服邮箱
回到顶部