2022-2023学年高一上物理期末模拟试卷注意事项:1.答卷前,考生务必将自己的姓名、准考证号、考场号和座位号填写在试题卷和答题卡上。用2B...
2022-2023学年高一上物理期末模拟试卷注意事项:1.答题前,考生先将自己的姓名、准考证号码填写清楚,将条形码准确粘贴在条形码区域内。2....
2022-2023学年高一上物理期末模拟试卷注意事项:1.答题前,考生先将自己的姓名、准考证号填写清楚,将条形码准确粘贴在考生信息条形码粘贴...
2022-2023学年高一上物理期末模拟试卷注意事项:1.答题前,考生先将自己的姓名、准考证号填写清楚,将条形码准确粘贴在考生信息条形码粘贴...
2022-2023学年高一上物理期末模拟试卷注意事项:1.答题前,考生先将自己的姓名、准考证号填写清楚,将条形码准确粘贴在考生信息条形码粘贴...
2022-2023学年高一上物理期末模拟试卷注意事项:1.答卷前,考生务必将自己的姓名、准考证号、考场号和座位号填写在试题卷和答题卡上。用2B...
2022-2023学年高一上物理期末模拟试卷请考生注意:1.请用2B铅笔将选择题答案涂填在答题纸相应位置上,请用0.5毫米及以上黑色字迹的钢笔或...
2022-2023学年高一上物理期末模拟试卷注意事项:1.答卷前,考生务必将自己的姓名、准考证号填写在答题卡上。2.回答选择题时,选出每小题...
2022-2023学年高一上物理期末模拟试卷请考生注意:1.请用2B铅笔将选择题答案涂填在答题纸相应位置上,请用0.5毫米及以上黑色字迹的钢笔或...
2022-2023学年高一上物理期末模拟试卷注意事项:1.答题前,考生先将自己的姓名、准考证号码填写清楚,将条形码准确粘贴在条形码区域内。2....
2022-2023学年高一上物理期末模拟试卷注意事项:1.答卷前,考生务必将自己的姓名、准考证号、考场号和座位号填写在试题卷和答题卡上。用2B...
2014-2015学年福建省南安一中高一(上)期末生物试卷一.单项选择题(1-30题每小题1分,31-45题每小题1分,共60分)1.下列各项组合中,能...
ABCDA1B1C1D1福建省南安一中09-10学年高一上学期期末考试数学试卷(2010.01.25)姓名班级号数成绩一.选择题(每题5分,共60分)1.直线023...
n=10s=0DOs=s+nn=n-1LOOPUNTILs﹥=40PRINTnEND南安一中2010-2011学年高一(下)期末考试数学试卷第Ⅰ卷(选择题共60分)一、选择题(共12小...
南安一中2010-2011学年高一数学上学期期中考试试题本试卷分第一部分和第二部分,共4页,满分150分,考试时间120分钟.第一部分(共100分)一...
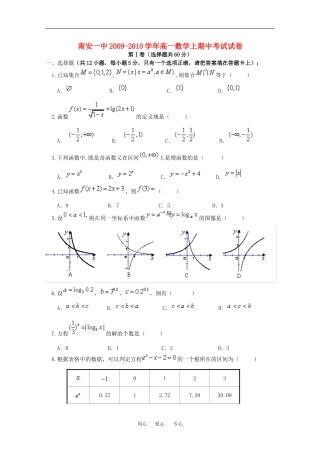
南安一中2009-2010学年高一数学上期中考试试卷第Ⅰ卷(选择题共60分)一、选择题(共12小题,每小题5分,只有一个选项正确,请把答案填在答...
南安一中2009-2010学年高一(下)期中考试数学试卷考试内容:必修4考试时间:120分钟第Ⅰ卷(选择题共60分)一、选择题(共12小题,每题5分...
南安一中09-10学年高一下学期期末试卷数学第Ⅰ卷(选择题60分)一、选择题(本大题有12小题,每小题5分,共60分.在每小题给出的四个选项中...
2011~2012学年南安一中高一年上学期期中考数学试卷第Ⅰ卷选择题(共60分)2011.11一、选择题(本大题共12小题,每小题5分,满分60分.在...
南安二中08~09学年月考二试卷高三数学(满分:150分考试时间:120分钟)一、选择题(本大题共12小题,每小题5分,共60分。在每小题给出的...

