有理数加减混合运算强化训练 1 有理数加减混合运算强化训练 2 有理数加减混合运算强化训练 3 有理数加减混合运算强化训练 4 有理数...
有理数加减法口算 班级: 姓名: 日期: 评价等级:优秀〇 良好〇 及格〇 家长签字:_ _ _ _ _ _ _ _ 20- (-12)= 11-...
1 有理数加减混合运算 例:把下列各式去掉括号,计算它们的值. 1. (-3)-(+4)+(-19)-(-11) 2. (+6.1)+(-3.7)-(+4.9)-...
第1 页,共67 页 20200620 手动选题组卷2(202006212130 复制) 副标题 题号 一 总分 得分 一、计算题(本大题共 100 小题,...
① 授课日期:2013-9.20 教学时段:A 学生年级:七年级 学生层次:30-40 上课内容:有理数加减法(一) 组织形式:复习课 知识要点...
2 0 2 0 年0 9 月2 7 日x x 学校初中数学试卷 学校:___________姓名:___________班级:___________考号:___________ 一、计...
有理数的加减乘除混合运算经典复习 〔有理数加减法运算练习〕 一、加减法法则、运算律的复习。 A.△同号两数相加,取__________的符号,...
数 学 练 习(一) 〔有理数加减法运算练习〕 一、加减法法则、运算律的复习。 A .△同号两数相加,取__________________,并把____...
1 有理数除法、混合运算及科学记数法 一、知识清单 (一)探索新知 亲爱的同学们,请试着填一填空: 1、51 2、51 ...
1 .1 正 数 和负数 (1 ) 1、 521,76,106,14.3,732.1,34,5.2,0,1中,正数有____, 负数有_____。 2、 如...
《有理数的减法》教学设计 【教材内容、作用】 《 有 理 数 的 减 法 》 是 人 教 版 实 验 教 科 书 《 数 学 》 ...
附 件 : 教 学 设 计 聚 焦 教 学 重 难 点 的 信 息 化 教 学 设 计 课 题 名 称 : 有 理 数 的 乘 除...
有理数乘除法及乘方 一、学习目标 1、掌握有理数乘、除法法则,会进行有理数的乘、除法运算。 2、掌握乘法运算律,并能运用乘法运算律性...
七年级上数学专题训练 有理数乘法运算 姓名: 1、(+14)×(—6); 2、(—12)×(— 431); 3、)313(212; 4、(—2)×(...
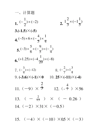
一、计算题 1 .)2()21( 2 .)511(321 3 .(-1 .5 )×(-5 ) 4 .41)54(6)5( 5 .)41()59(65)3( ...
1 一、有理数的乘法 (1)有理数乘法法则:两数相乘,同号得正,异号得负,并把绝对值相乘. (2)任何数同零相乘,都得0. (3)多个...
第1页共7页 有理数乘方及混合运算(混合运算)(人教版) 一、单选题(共15 道,每道 6 分) 1.计算的结果是( ) A.-8 B.-5 C.0 D....
有理数练习题 (填空选择应用题专练) 1、下列说法中正确的是( ) A、一个有理数,不是正数就是负数 B、一个有理数,不是整数就是分...
有理数练习题 (填空选择应用题专练) 1、如果逆时针旋转 8 圈记为+8 圈,那么-8 圈表示 。 2、孔子出生于公元前 551 年,如果...
天卉中学七年级数学学案 姓名 组 号 有理数混合运算(巩固展示课)2010.10.26 日27日 学习目标:知道有理数混合运算顺序并会计算....

