第三章小结学院:创新实验学院专业:生物技术班级:102姓名:许健龙学号:2010015065日期:2010-12-5一、微分中值定理1)罗尔定理(拉格朗日...
1中值滤波原理及MATLAB实现摘要:图像是一种重要的信息源,通过图像处理可以帮助人们了解信息的内涵。本文将纯净的图像加入椒盐噪声,然后采...
习题3一、填空题1.设,则有_________个根,它们分别位于________区间;2.函数在上满足拉格朗日定理条件的;3.函数与在区间上满足柯西定...
1/6第三章微分中值定理与导数的应用作业习题1、证明下列的不等式。(1)yxyxarctanarctan;(2))0(,lnxyyyxyxxyx。2、设121,,kaa是任意实...
1/3第三章中值定理与导数的应用自测题B一、选择题:1.设()fx在区间0,1上连续,在区间0,1内可导,且(0)1f,(1)0f,则在0,1内至少存在一点c...
实用标准文案文档高等数学中值定理的题型与解题方法高数中值定理包含:1.罗尔中值定理(rolle);2.拉格朗日中值定理(lagrange);3.柯西中值定...
第三章中值定理应用研究函数性质及曲线性态利用导数解决实际问题罗尔中值定理拉格朗日中值定理柯西中值定理泰勒公式(第三节)推广微分中值定...
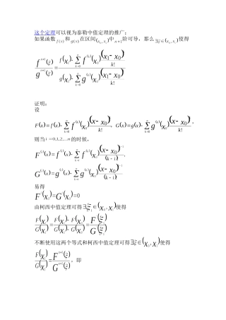
这个定理可以视为泰勒中值定理的推广:如果函数和在区间中阶可导,那么使得证明:设,则当的时候,易得由柯西中值定理可得使得不断使用这两...
第一章积分中值定理一、本章有一个按序排列而成的定理系列,即罗尔定理、拉格朗日中值定理、柯西定理和泰勒定理。由于它们都拥有一个“微分...
1/10微分中值定理与导数应用复习题一、选择题1.下列函数在区间1,e内满足拉格朗日定理条件的是()(A)y=ln(lnx)(B)y=ln(2x)(C)y=lnx...
2022中值定理的开题报告关于中值定理的开题报告模板一、选题的依据1.选题的来源及意义微分中值定理是数学分析课程中的重要内容,同时也是微...
第四节中值定理洛必达法则一、中值定理二、洛必达法则一、中值定理定理2-1(罗尔(Rolle)中值定理)如果函数f(x)在闭区间[a,b]上连续,在开...
微分中值定理证明中辅助函数的构造1原函数法此法是将结论变形并向罗尔定理的结论靠拢,凑出适当的原函数作为辅助函数,主要思想分为四点:(...
数字图像处理实验二生医一、实验内容产生教材页题图(右图)所示的二值图像(白为,黑为),编程实现习题所要求的处理(的平均滤波和中值滤...
洛必达公式+泰勒公式+柯西中值定理+罗尔定理洛必达法则洛必达法则(L'Hospital法则),是在一定条件下通过分子分母分别求导再求极限来确定未...
考研高等数学基础班讲义2.2.1§2.2微分中值定理一、罗尔定理设函数()fx满足(1)在闭区间[a,b]上连续;(2)在开区间(a,b)内可导;(3...
专升本高等数学第三章微分中值定理与导数的应用
精品文档精品文档微分中值定理的证明题1.若()fx在[,]ab上连续,在(,)ab上可导,()()0fafb,证明:R,(,)ab使得:()()0ff。证:构造函数()()...
第三章微分中值定理与导数的应用第三讲微分中值定理、洛必达法则、泰勒公式习题课教学目的通过对所学知识的归纳总结及典型题的分析讲解,使...
微分中值定理与导数应用复习题一、选择题1.下列函数在区间1,e内满足拉格朗日定理条件的是()(A)y=ln(lnx)(B)y=ln(2x)(C)y=lnx(D)...

