3.3.1单项式东兴初中王章军2012.11.列代数式三角形的面积为_________;圆的周长为_______小红从每月的零花钱中贮存x元捐款给希望工...
第14章整式的乘法复习与测试知识网络归纳互逆难点讲解:(2)正确处理运算中的“符号”,避免以下错误,如:等;例5【点评】由(1)、(2)...
一、分级练习练习(一)(1)在式子2a,x3,1m+n,x-y2,−12y2,1−x−5xy2−x中,那些是单项式?哪些是多项式?哪些是整式?2、0.4xy3的系数...
2.12.1整式整式(第(第11课时)课时)学习目标:(1)理解字母表示数的意义,会用含有字母的式子表示实际问题中的数量关系.(2)经历用含有字...
整式(一)一、新课引入能用代数式表示实际问题中的数量关系吗.能用代数式表示实际问题中的数量关系吗.1、路程、速度和时间的关系为:路程=...
2.1.1整式-单项式基础检测1.下列说法正确的是().A.a的系数是0B.1y是一次单项式C.-5x的系数是5D.0是单项式2.下列单项式书写不正确...
整式的加减(第一课时)一、教学目标知识与技能:理解同类项的概念,在具体情景中,认识同类项。理解合并同类项的概念,掌握合并同类项的法...
第八章整式乘法测试卷班级姓名学号一、选择题(共10小题,每小题3分,共30分)1.下列运算正确的是()A.B.C.D.()A.B.1C.0D.19973.设,则A...
2.2整式的加减填空,并解释等式成立的依据.1.x+2x+4x-3x=______;2.3x2+2x2=_____;3.3ab2-4ab2=_______.活动1(1)x+2x+4x-3x=(1+2+4-...
第二章整式的加减习题精讲数学七年级上册(人教版)2.1整式2.1整式第3课时多项式与整式1.多项式的有关概念:(1)多项式:几个____________叫...
整式的乘除复习(二)1.选择题:(1)下列式子中,正确的是()A.3x+5y=8xyB.3y2-y2=3C.15ab-15ab=0D.29x3-28x3=x(2)当a=-1时,代数式(a+1)2+a...
义务教育教科书(人教版)七年级数学上册学到很多东西的诀窍,就是一下子不要学很多。
2013-2014学年上学期七年级数学学科学案《整式的加减—去括号》第课时总第课时撰写教师王迅利组长郭宇杰【学习目标】1.理解去括号时符号变...
石港中学陈志梅展示图片西宁格木尔拉萨(1)列车在冻土地段行驶时,2小时能行驶多少千米?3小时呢?t小时呢?解:(1)100×2=200(千米)100...
人教版七年级上册下列书写是否正确:①1x;②-1x;③a×3;④a÷2;⑤2114xy。指出下列式子中,哪些是单项式?abc)1(a)7(334)3(R3)2(xmm...
计算:()()()122;mnmn2222224mmmnnmnnmn()()()2253;nn2222355326515215nnnnnnnnn...
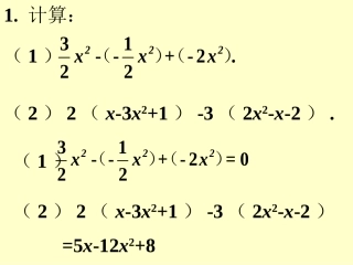
1.计算:(1)(2)2(x-3x2+1)-3(2x2-x-2).31---222()()222xx+x.(1)31---2022()()222xx+x=(2)2(x-3x2+1)-3(2x2-x-2)=5...
课题:2.2整式的加减(2)科目数学课型新授课年级七年级印刷时间主备同伴组长签字授课时间学习目标1.能运用合并同类项化简整式2.已知式中...
《整式的加减》教学设计马家乡一中王贵枝一、关于基本理念1、高立意,低起点。如活动一的回忆与思考“前面我们学过了数的加法、减法、乘法...
⑴、5个人+8个人=⑵、5只羊+8只羊=⑶、5个人+8只羊=思考问题青藏铁路线上,在格尔木到拉萨之间有一段很长的冻土地段。列车在冻土地段的行驶...

