电脑桌面
添加小米粒文库到电脑桌面
安装后可以在桌面快捷访问

提高练习-整式的加减VIP免费

提高练习-整式的加减_第1页
1/3
提高练习-整式的加减_第2页
2/3
提高练习-整式的加减_第3页
3/3
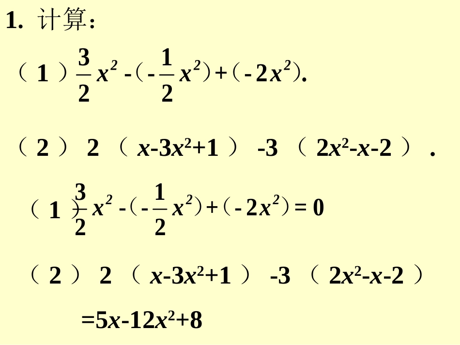
1.计算:(1)(2)2(x-3x2+1)-3(2x2-x-2).31---222()()222xx+x.(1)31---2022()()222xx+x=(2)2(x-3x2+1)-3(2x2-x-2)=5x-12x2+82.(1)求整式6a+b与-2a-3b+1的和(2)求整式3a2b-ab2的5倍与ab2+3a2b的差.(1)(6a+b)+(-2a-3b+1)=4a-2b+1(2)(3a2b-ab2)×5-(ab2+3a2b)=12a2b-6ab23.已知某三角形第一条边长为(2a-b)cm,第二条边比第一条边长(a+b)cm,第三条边比第一条边的2倍少b(cm).求这个三角形的周长.第一条边:2a-b第二条边:2a-b+(a+b),即3a第三条边:2×(2a-b)-b,即4a-3b周长:2a-b+3a+4a-3b=9a-4b

1、当您付费下载文档后,您只拥有了使用权限,并不意味着购买了版权,文档只能用于自身使用,不得用于其他商业用途(如 [转卖]进行直接盈利或[编辑后售卖]进行间接盈利)。
2、本站所有内容均由合作方或网友上传,本站不对文档的完整性、权威性及其观点立场正确性做任何保证或承诺!文档内容仅供研究参考,付费前请自行鉴别。
3、如文档内容存在违规,或者侵犯商业秘密、侵犯著作权等,请点击“违规举报”。

碎片内容

提高练习-整式的加减

您可能关注的文档

确认删除?
VIP
微信客服
  • 扫码咨询
会员Q群
  • 会员专属群点击这里加入QQ群
客服邮箱
回到顶部