电脑桌面
添加小米粒文库到电脑桌面
安装后可以在桌面快捷访问

液压与气压传动王守城习题答案VIP免费

液压与气压传动王守城习题答案_第1页
1/11
液压与气压传动王守城习题答案_第2页
2/11
液压与气压传动王守城习题答案_第3页
3/11
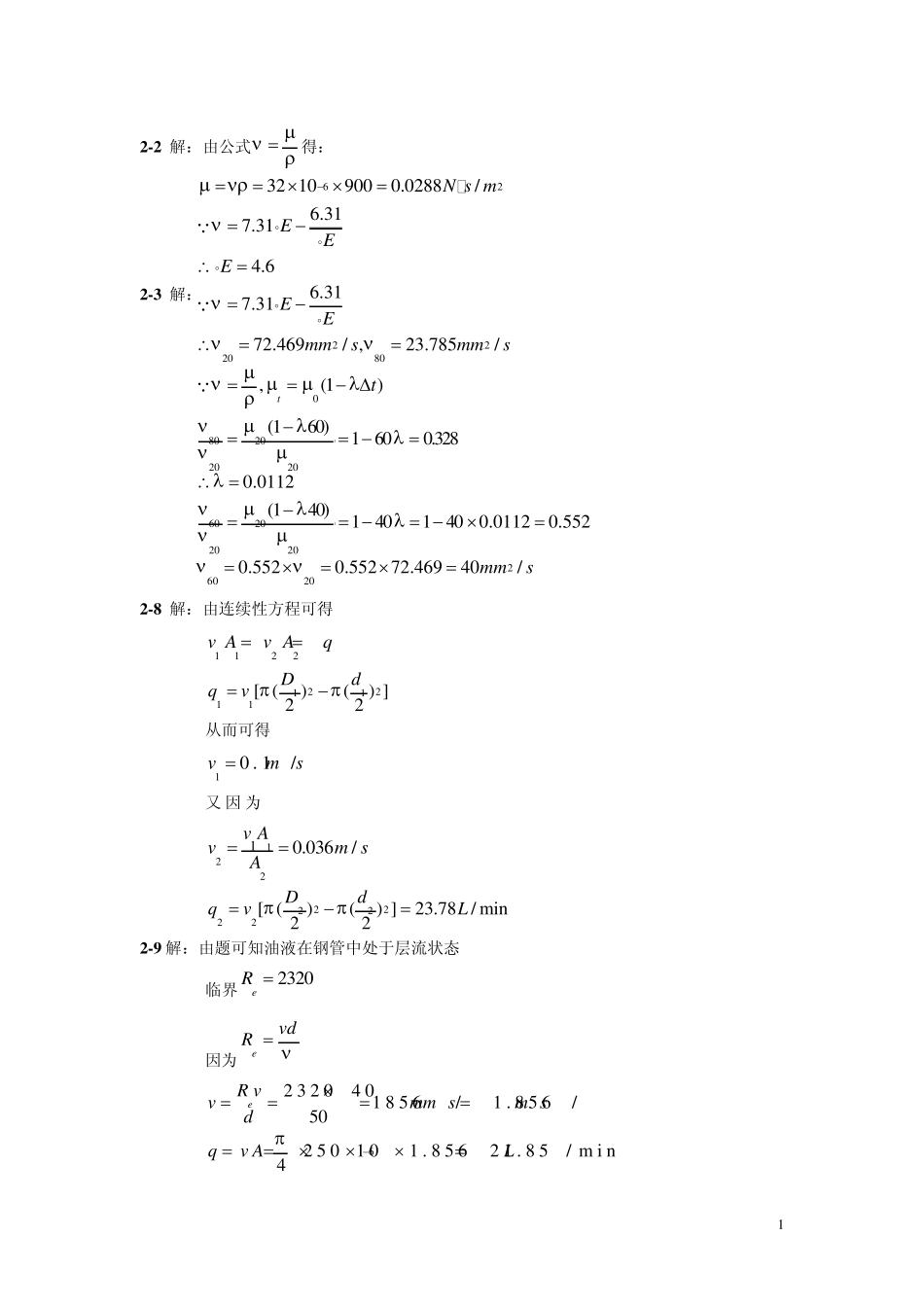
1 2 -2 解:由公式得: 2 -3 解: 2 -8 解:由连续性方程可得 1122v Av Aq 221111[ ()() ]22Ddqv  从而可得 10 . 1/vms 又因为 12210.036/v Avm sA 222222[ ()() ]23.78 / min22DdqvL 2 -9 解:由题可知油液在钢管中处于层流状态 临界2320eR  因为ev dR 2 3 2 04 01 8 5 6/1 . 8 5 6/50eR vvmm sm sd 62 5 01 01 . 8 5 62 1 . 8 5/ m i n4qv AL 6232 109000.0288/6.317.314.6N s mEEE22208008020202060202020260206.317.3172.469/ ,23.785/,(1)(160)1 600.3280.0112(140)1 401 400.01120.5520.5520.552 72.46940/tEEmmsmmstmms     2 2 -1 0 解:因为不计油液流动的能量损失 由图可得 2211221122pvpv 1122v Av A 322622230 / min4 30 10/1.59/60 2010204qLvm sm sAmm 3126130 10425.5/60510qvm sA 22221212900()(25.51.59 )2914740.2922ppvvPaPaMPa 2 -1 1 解:对油箱液面与泵入口处列伯努利方程,以油箱液面为基准面 21222vHg2gpp 真空度: 2 -1 2 解:对油箱液面与泵入口处列伯努利方程,以油箱液面为基准面 222v1223vgH2g2 0.85900 9.8(0.4)2 9.84.18 10ppppa 2211 1222331222422244 10 (/ )0,2.04(/ )0.025( )2.04 0.02535923201.42 10 (/ )2weppvpvghqmsvvm sdmv dRms其中:222e85 2.51063232020 10275750.07R1063ev dR层流2211 122 11211322220,04 25 1085/3.14 2.560pvpvhhggggvhQvcm sA 3 2 -1 3 解:3122144 18 10382/3.14 160Qvcm sd 3222044 18 101062/3.140.660Qvcm sd() 判断流态: 11382 1191023200.2ev dRv层流 021 0 6 20 . 63 1 8 62 3 2 00.2ev dRv紊流 阻力系数: 0393.0191075R75...

1、当您付费下载文档后,您只拥有了使用权限,并不意味着购买了版权,文档只能用于自身使用,不得用于其他商业用途(如 [转卖]进行直接盈利或[编辑后售卖]进行间接盈利)。
2、本站所有内容均由合作方或网友上传,本站不对文档的完整性、权威性及其观点立场正确性做任何保证或承诺!文档内容仅供研究参考,付费前请自行鉴别。
3、如文档内容存在违规,或者侵犯商业秘密、侵犯著作权等,请点击“违规举报”。

碎片内容

液压与气压传动王守城习题答案

确认删除?
VIP
微信客服
  • 扫码咨询
会员Q群
  • 会员专属群点击这里加入QQ群
客服邮箱
回到顶部