电脑桌面
添加小米粒文库到电脑桌面
安装后可以在桌面快捷访问

弦长公式证明及应用详解VIP免费

弦长公式证明及应用详解_第1页
1/7
弦长公式证明及应用详解_第2页
2/7
弦长公式证明及应用详解_第3页
3/7
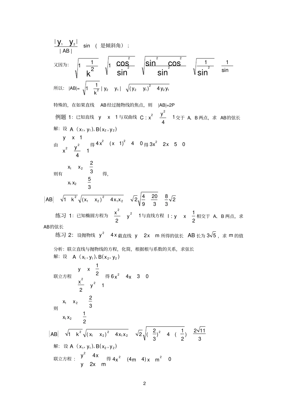
1 弦长公式证明及应用详解公式为:|AB|2121xxk2122124)(1xxxxk和: |AB|=122121224)(||11yyyyyyk作用:应用弦长公式很方便,它所解决的问题是求直线与所有圆锥曲线所交弦的弦长,因为直线的斜率往往是已知的,这样再知道两个交点的横坐标或者纵坐标就可以直接利用公式求出来,如果不知道横纵坐标也可以直接把直线和圆锥曲线联立方程组,进而转化成一元二次方程利用韦达定理不用解方程代入公式直接求出弦长公式证明:证法一:若直线bkxyl :与圆锥曲线相交与A、 B 两点,),(),,2211yxByxA(则弦长221221)()(yyxxAB221221)]([)(bkxbkxxx2121xxk2122124)(1xxxxk其实用三角函数来证明也很简单方法如下证法二:表示倾斜角)(cos1111coscoscossintan222222k又因为:cos||||21ABxx所以||1||cos1cos||||2122121xxkxxxxAB2122124)(1xxxxk同理:|AB|=122121224)(||11yyyyyyk推导方法如下:2 是倾斜角)(sin||||21AByy;又因为:sin111211sinsincossinsincos222222k所以: |AB|=122121224)(||11yyyyyyk特殊的,在如果直线AB经过抛物线的焦点,则|AB|=2P例题 1:已知直线1xy与双曲线14:22yxC交于 A、B 两点,求 AB的弦长解:设),(),,2211yxByxA(由14122yxxy得224(1)40xx得23250xx则有35322121xxxx得,2383209424)(1212212xxxxkAB练习 1:已知椭圆方程为1222yx与直线方程21:xyl相交于 A、B 两点,求AB的弦长练习 2:设抛物线xy42截直线mxy2所得的弦长 AB 长为53,求 m 的值分析:联立直线与抛物线的方程,化简,根据根与系数的关系,求弦长解:设),(),,2211yxByxA(联立方程122122yxxy得03462xx则21322121xxxx3112)21(4)32(24)(12212212xxxxkAB解: 设),(),,2211yxByxA(联立方程 :mxyxy242得0)44(422mxmx3 则4122121mxxmxx53)1(54)(122212212mmxxxxkAB4m例题 2:已知抛物线32xy上存在关于直线0yx对称相异的两点A、B,求弦长 AB分析:A、B 两点关于直线0yx对称,则直线 AB 的斜率与已知直线斜率的积为1(根据直线垂直斜率之积是-1 )且 AB 的中点在已知直线上解:BA、关于0:yxl对称1ABlkk1lk1ABk设直线 AB 的方程为bxy,),(),,2211yxByxA(联立方程32xybxy化简得032bxx121xxAB 中点)21,21(bM在直线0yx上1b022xx则212121xxxx238)1(24)(12212212xxxxkAB小结 :在求直线与圆锥曲线相交的弦长时一般采用韦达定理设而不求的方法,在求解过程中一般采取步骤为:设点联立方程消元韦达定理弦长公式作业 :(1) 过抛物线24yx 的焦点...

1、当您付费下载文档后,您只拥有了使用权限,并不意味着购买了版权,文档只能用于自身使用,不得用于其他商业用途(如 [转卖]进行直接盈利或[编辑后售卖]进行间接盈利)。
2、本站所有内容均由合作方或网友上传,本站不对文档的完整性、权威性及其观点立场正确性做任何保证或承诺!文档内容仅供研究参考,付费前请自行鉴别。
3、如文档内容存在违规,或者侵犯商业秘密、侵犯著作权等,请点击“违规举报”。

碎片内容

弦长公式证明及应用详解

爱的疯狂+ 关注
实名认证
内容提供者

该用户很懒,什么也没介绍

相关文档

确认删除?
VIP
微信客服
  • 扫码咨询
会员Q群
  • 会员专属群点击这里加入QQ群
客服邮箱
回到顶部