电脑桌面
添加小米粒文库到电脑桌面
安装后可以在桌面快捷访问

振动的数学讲解VIP免费

振动的数学讲解_第1页
1/14
振动的数学讲解_第2页
2/14
振动的数学讲解_第3页
3/14
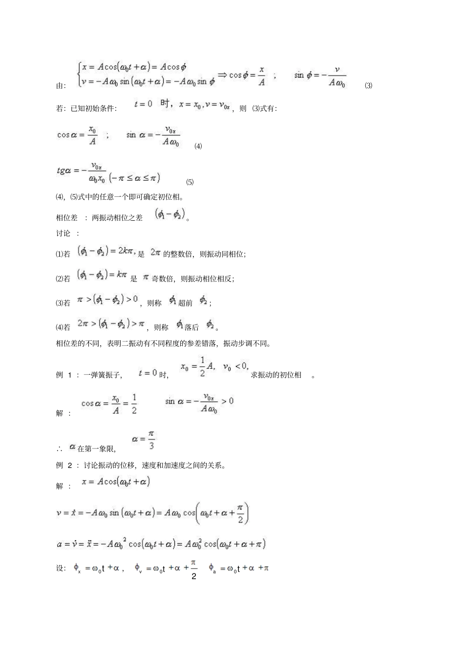
《振动的数学分析》简谐振动的运动学本节主要讲解:根据简谐振动的动力学方程求其运动学方程,并讨论简谐运动的运动学特征。一 . 简谐振动的运动学方程由牛顿第二定律知:xmkmFa即:022xmkdtxd再令mk20得:02022xdtxd方程02022xdtxd的通解为:⑴⑴ 式就是简谐振动的运动学方程,该式又是周期函数,故简谐振动是围绕平衡位置的周期运动。二 . 描述简谐振动的物理量1 . 周期(T )完成一次全振动所用的时间:对弹簧振子:kmT222. 频率()单位时间内完成的全振动的次数:的含义:个单位时间内完成的全振动的次数,即:圆频率。3. 振幅物体离开平衡位置的最大位移。振幅可以由初始条件决定。如:t=0 时刻,,由⑴式可得:cos0Ax, sin000Adtdxvtx∴⑵4. 位相和初位相振动系统的状态指:任意瞬时的位移和速度。但仅知振幅频率还不够,还须知道才能完全决定系统的运动状态。叫简谐振动的相位。当时,叫 初相位。由:⑶若:已知初始条件:,则 ⑶式有:⑷⑸⑷,⑸式中的任意一个即可确定初位相。相位差:两振动相位之差。讨论 :⑴若是的整数倍,则振动同相位;⑵若是奇数倍,则振动相位相反;⑶若,则称超前;⑷若,则称落后。相位差的不同,表明二振动有不同程度的参差错落,振动步调不同。例 1 :一弹簧振子,时,求振动的初位相。解 :∴在第一象限,例 2 :讨论振动的位移,速度和加速度之间的关系。解 :设:tx0,20tvta0则:所以:速度的位相比位移的位相超前2加速度的位相比速度的位相超前2;加速度的位相比位移的位相超前。理解 : 加速度对时间的积累才获得速度,速度对时间的积累获得位移。总结 :⑴ 简谐振动是周期性运动;⑵ 简谐振动各瞬时的运动状态由振幅A 圆频率及初相位决定,或者说, 由振幅和相位决定。⑶ 简谐振动的频率是由振动系统本身固有性质决定的,而振幅和初相位不仅决定于系统本身性质,而且取决于初始条件。三 . 简谐振动的图象:图线描述:质点在各个时刻的偏离平衡位置的位移。中学里经常做正弦、余弦函数的图象,故不再多讲,请看书。四 . 简谐振动的矢量表示法:用旋转矢量的投影表示简谐振动。如图示:为一长度不变的矢量,的始点在坐标轴的原点处,记时起点t=0 时,矢量与坐标轴的夹角为,矢量以角速度逆时针匀速转动。由此可见:⑴匀速旋转矢量在坐标轴上的投影即表示一特定的简谐振动的运动学方程。⑵矢端的速度大小为,在x 轴上的投影为:⑶ 矢 端 沿 圆 周 运 动 的...

1、当您付费下载文档后,您只拥有了使用权限,并不意味着购买了版权,文档只能用于自身使用,不得用于其他商业用途(如 [转卖]进行直接盈利或[编辑后售卖]进行间接盈利)。
2、本站所有内容均由合作方或网友上传,本站不对文档的完整性、权威性及其观点立场正确性做任何保证或承诺!文档内容仅供研究参考,付费前请自行鉴别。
3、如文档内容存在违规,或者侵犯商业秘密、侵犯著作权等,请点击“违规举报”。

碎片内容

振动的数学讲解

您可能关注的文档

文库响当当+ 关注
实名认证
内容提供者

该用户很懒,什么也没介绍

相关文档

确认删除?
VIP
微信客服
  • 扫码咨询
会员Q群
  • 会员专属群点击这里加入QQ群
客服邮箱
回到顶部