电脑桌面
添加小米粒文库到电脑桌面
安装后可以在桌面快捷访问

七年级数学上册 第一章 有理数 第11课时 有理数的减法(2)(课堂本)课件 (新版)新人教版 课件VIP免费

七年级数学上册 第一章 有理数 第11课时 有理数的减法(2)(课堂本)课件 (新版)新人教版 课件七年级数学上册 第一章 有理数 第11课时 有理数的减法(2)(课堂本)课件 (新版)新人教版 课件七年级数学上册 第一章 有理数 第11课时 有理数的减法(2)(课堂本)课件 (新版)新人教版 课件七年级数学上册 第一章 有理数 第11课时 有理数的减法(2)(课堂本)课件 (新版)新人教版 课件
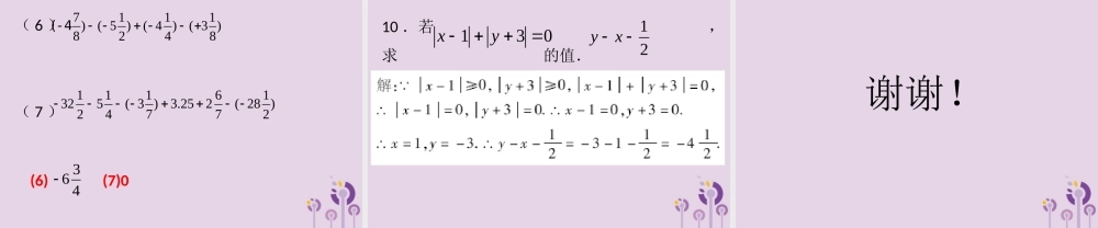
巩固提高精典范例(变式练习)第 11 课时 有理数的减法( 2 )第一章 有理数【例 1 】计算 :( - 20)+(+3) - ( - 5) -( +7 ) .精 典 范 例-19 1 .计算 : (- 7 )-( +5 ) + (- 4 )-(-10 ) .变 式 练 习-6【例 2 】计算:( 1 ) 1 - 4+3 - 0.5 ;( 2 )- 2.4+3.5 - 4.6+3.5.精 典 范 例( 1 ) -0.5 ( 2 ) 02. 计算:( 1 )- 4.2+5.7 - 8.4+10 ;( 2 ) 变 式 练 习( 1 ) 3.1( 2 )34【例 3 】计算:( 1 )(- 0.8 ) +1.2+( - 0.7)+( - 2.1)+0.8+3.5 ;( 2 )精 典 范 例( 1 ) 1.9 ( 2 ) 153 .计算:( 1 ) 12 -(- 18 ) + (- 7 )- 15 ;( 2 ) 4.7 -(- 8.9 )- 7.5+ (- 6 ) .变 式 练 习( 1 ) 8 ( 2 ) 0.14. 某市一天上午气温是 10 ℃ ,下午上升 ℃ ,半夜下降 5 ℃ ,则半夜的气温是( )A. - 15 B.3 C.℃℃- 3 D.15 ℃℃5. 若︱ m ︱ =3, ︱ n ︱ =2, 则︱ m+n ︱ =( )A.5 B.1C.5 或 1 D. - 1 ,- 5 , 1 , 5巩 固 提 高BC6. 把 18 -(— 33 ) + (- 21 )-(- 42 )写成省略括号的和是( )A.18+( - 33)+( - 21)+42 B.18 - 33 - 21+42C.18 - 33 - 21 - 42D.18+33 - 21+42巩 固 提 高D7. 算式- 3 - 5 不能读作( )A. - 3 与 5 的差B. - 3 与- 5 的和C. - 3 与- 5 的差D. - 3 减去 5巩 固 提 高C8. 数轴上点 A 表示- 3 ,点 B 表示 1 ,则表示两点间的距离的算式是( )A. - 3+5B.3 - 1C.1 - ( - 3)D.1 - 3巩 固 提 高C9. 计算:( 1 ) 20 - 36 ; ( 2 )- 3+5 - 8 ;( 3 ) - 17+17 - 26 ;巩 固 提 高( 1 ) -16( 2 ) -6 ( 3 ) -26( 4 )(- 5 )-(- 10 ) +( - 32) - ( - 7) ;( 5 ) 1 - 2+3 - 4+5 - 6+…+99 - 100 ;巩 固 提 高( 4 ) -10 ( 5 ) -50 ( 6 )( 7 )巩 固 提 高(6) (7)07111)( 5 )( 4 )( 3 )8248   (-411161325( 3 )3.252( 28 )24772  36 410 .若 ,求 的值.巩 固 提 高130xy12yx谢谢!

1、当您付费下载文档后,您只拥有了使用权限,并不意味着购买了版权,文档只能用于自身使用,不得用于其他商业用途(如 [转卖]进行直接盈利或[编辑后售卖]进行间接盈利)。
2、本站所有内容均由合作方或网友上传,本站不对文档的完整性、权威性及其观点立场正确性做任何保证或承诺!文档内容仅供研究参考,付费前请自行鉴别。
3、如文档内容存在违规,或者侵犯商业秘密、侵犯著作权等,请点击“违规举报”。

碎片内容

七年级数学上册 第一章 有理数 第11课时 有理数的减法(2)(课堂本)课件 (新版)新人教版 课件

您可能关注的文档

黄金书屋+ 关注
实名认证
内容提供者

爱好英语教学和互联网行业,热爱教育事业,兢兢业业

相关文档

确认删除?
VIP
微信客服
  • 扫码咨询
会员Q群
  • 会员专属群点击这里加入QQ群
客服邮箱
回到顶部