电脑桌面
添加小米粒文库到电脑桌面
安装后可以在桌面快捷访问

数值分析报告部分填空练习VIP免费

数值分析报告部分填空练习_第1页
1/11
数值分析报告部分填空练习_第2页
2/11
数值分析报告部分填空练习_第3页
3/11
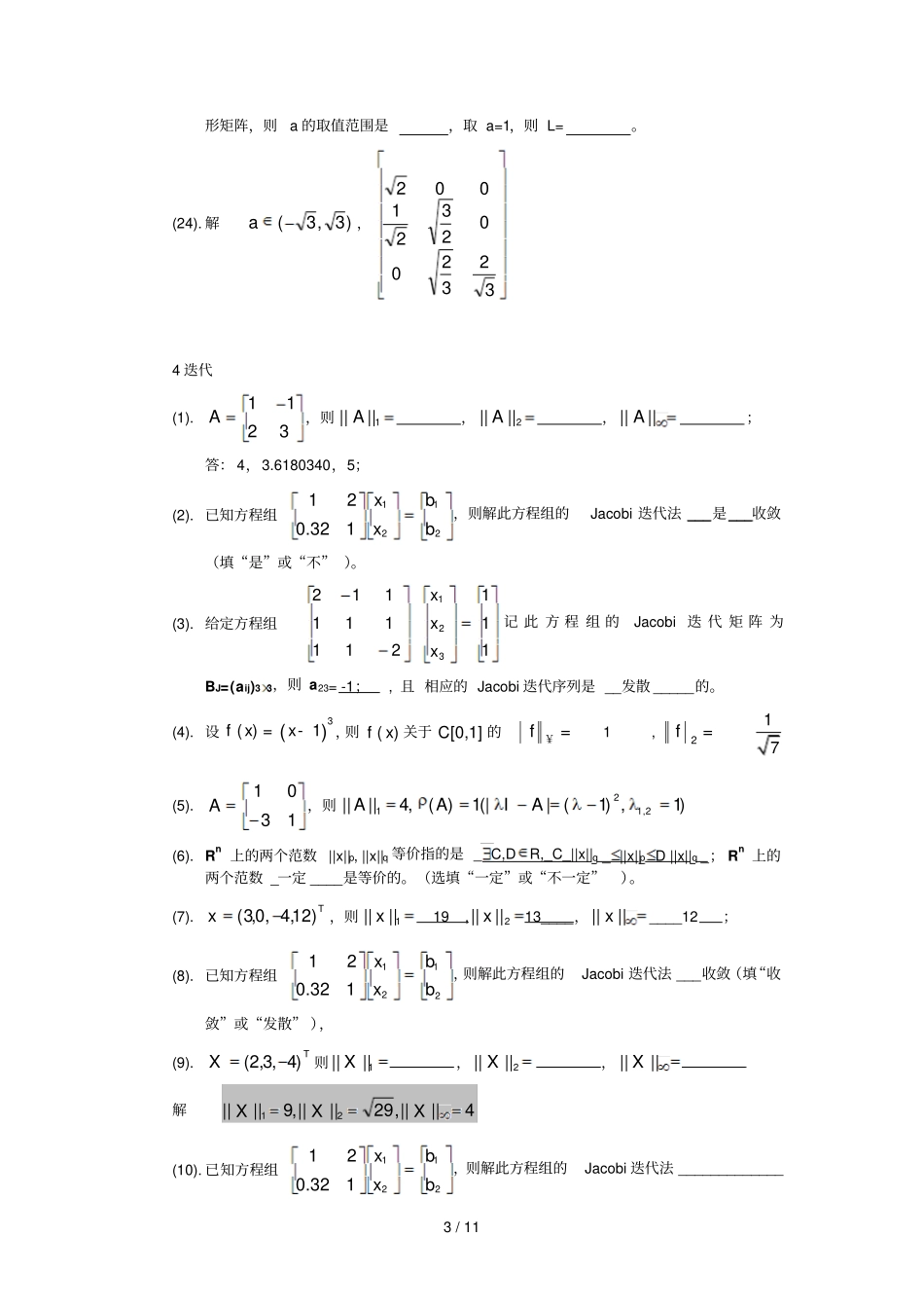
1 / 11 1 绪论(1). 要使20 的近似值的相对误差限0.1%, 应至少取 ___4____位有效数字。20 =0.4⋯ 10, a1=4, r121a10-(n-1)< 0.1% ,故可取 n 4, 即 4 位有效数字。(2). 要使20 的近似值的相对误差限0.1%, 应至少取 ___4___位有效数字 ,此时的绝对误差限为31102-′(3). 设 y=f (x1,x2) 若 x1,x2,的近似值分别为x1*, x2*, 令 y*= f(x1*,x2*) 作为 y的近似值 ,其绝对误差限的估计式为: ||f(x1*,x2*)|x 1-x* 1|+ |f(x1*, x2*)|x 2-x* 2| (4). 计算f=(2 -1)6 , 取2 =1.4 , 利用下列算式,那个得到的结果最好?答:__C_____. (A) 6121)(, (B) (3-22 )2, (C) 32231)(, (D) 99-702(5). 要使17 的近似值的相对误差限0.1%, 应至少取 _________位有效数字?17 =0.4⋯ 10, a1=4, r121a10-(n-1)< 0.1% 故可取 n 3.097, 即 4 位有效数字。(6). 设 x=3.214, y=3.213 ,欲 计 算 u=yx, 请给出一个精度较高的算式u=. u=yxyx(7). 设 x=3.214, y=3.213,欲计算u=yx, 请给出一个精度较高的算式u= . u=yxyx(8). 设 y=f (x1,x2) 若 x1,x2,的近似值分别为x1*, x2*, 令 y*= f(x1*, x2*) 作为 y 的近似值 ,其绝对误差限的估计式为: | |f(x1*, x2*)|x 1-x* 1|+ |f(x1*,x2*)|x 2-x* 2|;2 方程根(9). 设迭代函 数 (x)在 x*邻近 有 r( 1)阶连续导数 ,且 x* =(x*),并 且有(k)(x*)=0 (k=1,⋯,r-1),但(r) (x*) 0,则 xn+1= (xn)产生的序列 { xn } 的收敛阶数为 ___r___ (10). 称序列{ xn} 是 p 阶收敛 的如果cxxxxpnnn**lim1(11). 用牛顿法求f(x)=0 的 n 重根,为了提高收敛速度,通常转化为求另一函数u(x)=02 / 11 的单根, u(x)=()( )f xfx(12). 用 Newton 法求方程 f(x)=x3+10x- 20=0 的根,取初值 x0= 1.5, 则 x1=________解x1=1.5970149(13). 用牛顿法解方程0123xx的迭代格式为 _______________ 解kkkkkkxxxxxx2312231(14). 迭代过程)(1kkxx收敛的充分条件是)(x 1.___ (15). 用 Newton 法求方程 f(x)=x3+10x-20=0 的根,取初值x0= 1.5, 则 x1= 1.5970149 (16). 用牛顿法解方程0123xx的迭代格式为______kkkkkkxxxxxx2312231_________ (17). 用 Newton 法求方程 f(x)=x3+10x- 20=0 的根,取初值 x0= 1.5, 则 x1=________解x1=1.5970149(18). 迭代公式 xk+1=xk(xk2+3...

1、当您付费下载文档后,您只拥有了使用权限,并不意味着购买了版权,文档只能用于自身使用,不得用于其他商业用途(如 [转卖]进行直接盈利或[编辑后售卖]进行间接盈利)。
2、本站所有内容均由合作方或网友上传,本站不对文档的完整性、权威性及其观点立场正确性做任何保证或承诺!文档内容仅供研究参考,付费前请自行鉴别。
3、如文档内容存在违规,或者侵犯商业秘密、侵犯著作权等,请点击“违规举报”。

碎片内容

数值分析报告部分填空练习

文库响当当+ 关注
实名认证
内容提供者

该用户很懒,什么也没介绍

相关文档

确认删除?
VIP
微信客服
  • 扫码咨询
会员Q群
  • 会员专属群点击这里加入QQ群
客服邮箱
回到顶部