电脑桌面
添加小米粒文库到电脑桌面
安装后可以在桌面快捷访问

数列综合练习错位相减法裂项相消法VIP免费

数列综合练习错位相减法裂项相消法_第1页
1/6
数列综合练习错位相减法裂项相消法_第2页
2/6
数列综合练习错位相减法裂项相消法_第3页
3/6
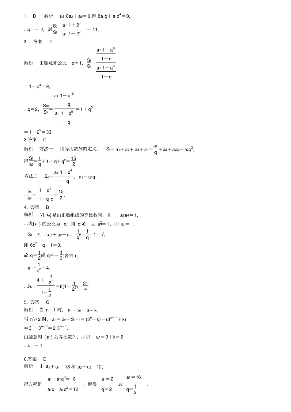
数列综合练习(一)1.等比数列前n 项和公式:(1)公式: Sn=a1 1-qn1-q=a1-anq1-qq≠1na1q= 1. (2)注意:应用该公式时,一定不要忽略q= 1 的情况.2.若 { an} 是等比数列,且公比q≠1,则前 n 项和 Sn=a11-q(1-qn)=A(qn-1).其中: A= a1q-1. 3.推导等比数列前n 项和的方法叫错位相减法.一般适用于求一个等差数列与一个等比数列对应项积的前n 项和.4.拆项成差求和经常用到下列拆项公式:(1)1n n+1=1n-1n+1;一、选择题1.设 Sn 为等比数列 {an} 的前 n 项和, 8a2+ a5= 0,则S5S2等于 () A .11 B. 5 C.- 8 D.- 11 2.记等比数列 { an}的前 n 项和为 Sn,若 S3=2,S6=18,则S10S5 等于 () A .- 3 B.5 C.- 31 D.33 3.设等比数列 { an}的公比 q=2,前 n 项和为 Sn,则 S4a2等于 () A .2 B.4 C.152D.1724.设 { an} 是由正数组成的等比数列,Sn 为其前 n 项和,已知a2a4=1,S3=7,则 S5等于 () A. 152B.314C.334D.1725.在数列 { an} 中, an+ 1=can(c 为非零常数 ),且前 n 项和为 Sn= 3n+k,则实数 k 的值为 () A .0 B.1 C.- 1 D.2 6.在等比数列 { an}中,公比 q 是整数, a1+a4=18,a2+a3=12,则此数列的前8 项和为 () A .514 B.513 C.512 D.510 二、填空题7.若 { an} 是等比数列,且前n 项和为 Sn=3n- 1+t,则 t=________. 8.设等比数列 { an}的前 n 项和为 Sn,若 a1=1,S6=4S3,则 a4=________. 9.若等比数列 { an}中, a1=1,an=- 512,前 n 项和为 Sn=- 341,则 n 的值是 ________.10.如果数列 { an} 的前 n 项和 Sn=2an- 1,则此数列的通项公式an=________. 三、解答题11.在等比数列 { an} 中, a1+an=66,a3an -2=128, Sn=126,求 n 和 q. . 12.已知 Sn 为等比数列 { an} 的前 n 项和, Sn=54,S2n=60,求 S3n. 13.已知数列 { an} 的前 n 项和 Sn=2n+2-4. (1)求数列 { an} 的通项公式;(2)设 bn=an·log 2an,求数列 { bn} 的前 n 项和 Tn. 14.已知等差数列{ an} 满足: a3= 7,a5+a7=26,{an} 的前 n 项和为 Sn. (1)求 an 及 Sn;(2)令 bn=1a2n-1(n∈N *),求数列 { bn} 的前 n 项和 Tn. . 15.设数列 {a...

1、当您付费下载文档后,您只拥有了使用权限,并不意味着购买了版权,文档只能用于自身使用,不得用于其他商业用途(如 [转卖]进行直接盈利或[编辑后售卖]进行间接盈利)。
2、本站所有内容均由合作方或网友上传,本站不对文档的完整性、权威性及其观点立场正确性做任何保证或承诺!文档内容仅供研究参考,付费前请自行鉴别。
3、如文档内容存在违规,或者侵犯商业秘密、侵犯著作权等,请点击“违规举报”。

碎片内容

数列综合练习错位相减法裂项相消法

爱的疯狂+ 关注
实名认证
内容提供者

该用户很懒,什么也没介绍

确认删除?
VIP
微信客服
  • 扫码咨询
会员Q群
  • 会员专属群点击这里加入QQ群
客服邮箱
回到顶部