电脑桌面
添加小米粒文库到电脑桌面
安装后可以在桌面快捷访问

数导数与微分解答VIP免费

数导数与微分解答_第1页
1/13
数导数与微分解答_第2页
2/13
数导数与微分解答_第3页
3/13
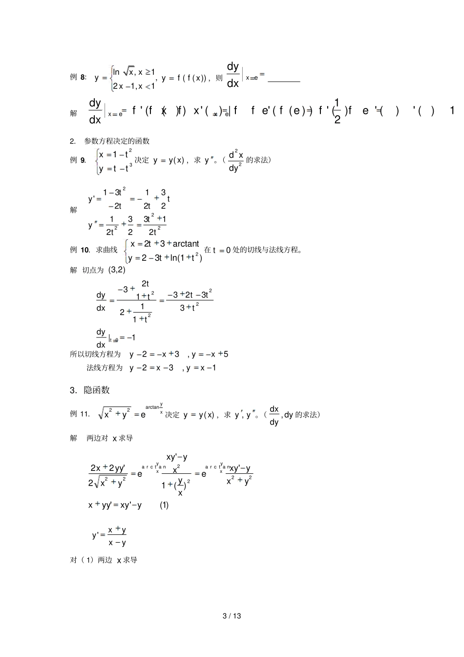
1 / 13 第二讲导数与微分一、大纲考试要求1.理解导数的概念及可导性与连续性之间的关系,了解导数的几何意义与经济意义(含边际与弹性的概念) ,会求平面曲线的切线方程和法线方程.2.掌握基本初等函数的导数公式.导数的四则运算法则及复合函数的求导法则,会求分段函数的导数会求反函数与隐函数的导数.3.了解高阶导数的概念,会求简单函数的高阶导数.4.了解微分的概念,导数与微分之间的关系以及一阶微分形式的不变性,会求函数的微分.二、内容提要1. 导数的概念xyxfxxfxxfxx00000lim)()()(lim( 变形,注意相应的增量的含义)几何意义:切线与法线的求法。物理意义:速度,加速度。左,右导数的概念:)(),(00xfxf;与记号:)0(0xf的区别。2. 求导数的四则运算,复合运算,反函数,隐函数,参数方程决定的函数的导数的计算。(积分限函数的导数在定积分复习)3. 微分的概念与求法;可微,可导,连续的关系;微分在近似计算中的应用;一阶微分形式的不变性。4. 高阶导数(递归定义)多项式的高阶导数;可求 n 阶导数的函数形式:)ln(,1,cos,sin,baxbaxaxaxeax等(注意变化为这类函数),莱布尼兹公式;分段函数在分断点的高阶导数;反函数,隐函数,参数方程决定的函数的高阶导数。5. 基本初等函数的求导公式。三、 常考知识点1.导数定义的考查2.求已知函数(包括显式、隐式、参数式及变上限积分确定的函数)的导数或微分或高阶导数。3.判断函数在一点的可导性(常结合连续性、极限存在性)。分段函数的导数4.导数的几何意义,即曲线的切线和法线的求法(曲线方程可以是显式、隐式、参数方程形式及极坐标形式) 。导数的经济意义(含边际与弹性的概念)5.可导、可微、连续的关系。四、导数定义的考查例 1:)()2)(1()(nxxxxxf,求(0),( 1)ff解:)!1(1)()2)(1(lim)1('!)()2)(1(lim)0('10nxnxxxxfnxnxxxxfxx例 2:2( )(1)(2)()xxnxf xeeen , n为正整数,求(0)f2 / 13 解)!1()1()()2)(1(lim)0('120nxneeefnnxxxx类似:)1004(arctan)24)(arctan14(arctan)(1002xxxxf求)1('f例 3:设(0)f存在,(0)0f,则2330( )2 ()limxx fxf xx(A )2(0)f(B)(0)f(C)(0)f(D)0 解232333300( )2 ()( )2()limlim[]'(0)xxx f xf xx fxf xfxxx例 4:设函数( )fx 在点 xa可导,则函数 |( ) |f x在点 xa 不可导的充分条件是(A )( )0,( )0f afa(B)( )0,( )0f afa(C)( )0,( )0f afa(D)(...

1、当您付费下载文档后,您只拥有了使用权限,并不意味着购买了版权,文档只能用于自身使用,不得用于其他商业用途(如 [转卖]进行直接盈利或[编辑后售卖]进行间接盈利)。
2、本站所有内容均由合作方或网友上传,本站不对文档的完整性、权威性及其观点立场正确性做任何保证或承诺!文档内容仅供研究参考,付费前请自行鉴别。
3、如文档内容存在违规,或者侵犯商业秘密、侵犯著作权等,请点击“违规举报”。

碎片内容

数导数与微分解答

您可能关注的文档

确认删除?
VIP
微信客服
  • 扫码咨询
会员Q群
  • 会员专属群点击这里加入QQ群
客服邮箱
回到顶部