电脑桌面
添加小米粒文库到电脑桌面
安装后可以在桌面快捷访问

整式的乘除知识点总结及针对练习题VIP免费

整式的乘除知识点总结及针对练习题_第1页
1/8
整式的乘除知识点总结及针对练习题_第2页
2/8
整式的乘除知识点总结及针对练习题_第3页
3/8
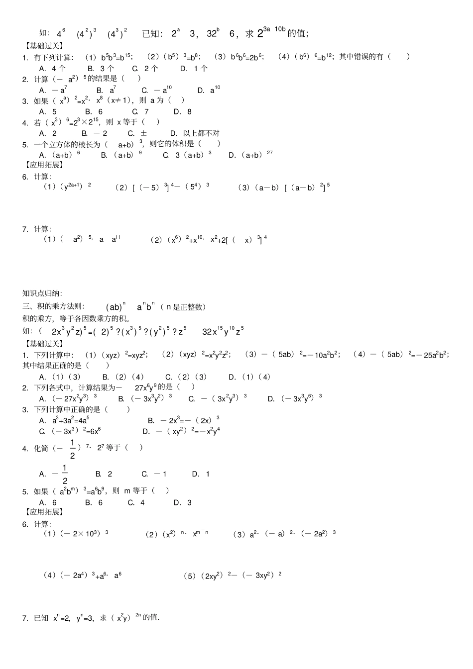
思维辅导整式的乘除知识点及练习基础知识:1、单项式的概念:由数与字母的乘积构成的代数式叫做单项式。单独的一个数或一个字母也是单项式。单项式的数字因数叫做单项式的系数,所有字母指数和叫单项式的次数。如:bca22的 系数为2 ,次数为4,单独的一个非零数的次数是0。2、多项式:几个单项式的和叫做多项式。多项式中每个单项式叫多项式的项,次数最高项的次数叫多项式的次数。如:122xaba,项有2a 、ab2、 x 、1,二次项为2a 、ab2,一次项为 x ,常数项为1,各项次数分别为2,2,1,0,系数分别为1,-2,1,1,叫二次四项式。3、整式:单项式和多项式统称整式。注意:凡分母含有字母代数式都不是整式。也不是单项式和多项式。4、多项式按字母的升(降)幂排列:如:1223223yxyyxx按 x 的升幂排列:3223221xyxxyy按 x 的降幂排列:1223223yxyyxx知识点归纳:一、同底数幂的乘法法则:nmnmaaa?(nm,都是正整数)同底数幂相乘,底数不变,指数相加。注意底数可以是多项式或单项式。如:532)()()(bababa?【基础过关】1.下列计算正确的是()A.y3·y5=y15B.y2+y3=y5C. y2+y2=2y4D.y3· y 5=y82.下列各式中,结果为(a+b) 3 的是()A.a3+b3B.(a+b)(a2+b2)C.(a+b)( a+b)2D.a+b(a+b)23.下列各式中,不能用同底数幂的乘法法则化简的是()A.(a+b)(a+b)2B.(a+b)(a-b)2C.-( a- b)(b-a)2D.(a+b)(a+b)3( a+b) 24.下列计算中,错误的是()A.2y4+y4=2y8B.(- 7) 5· (- 7) 3·74=712C.(- a)2·a5· a3=a10D.(a-b)3(b-a)2=( a-b)5【应用拓展】5.计算:(1)64×(- 6) 5(2)- a4(- a) 4 (3)- x5·x3· (- x) 4(4)(x- y) 5· (x-y)6· (x-y) 7 6.已知 ax=2,ay=3,求 ax+y的值.7.已知 4·2a·2a+1=29,且 2a+b=8,求 ab 的值.知识点归纳:二、幂的乘方法则:mnnmaa )((nm,都是正整数)幂的乘方,底数不变,指数相乘。如:10253)3(幂的乘方法则可以逆用:即mnnmmnaaa)()(如:23326)4()4(4已知: 23a, 326b,求3102ab 的值;【基础过关】1.有下列计算: (1)b5b 3=b15; (2)( b5)3=b8; (3)b 6b6=2b 6; (4)( b6) 6=b12;其中错误的有()A.4 个B.3 个C.2 个D.1 个2.计算(- a2) 5 的结果是()A.- a7B. a7C.- a10D.a103.如果( xa) 2=x2...

1、当您付费下载文档后,您只拥有了使用权限,并不意味着购买了版权,文档只能用于自身使用,不得用于其他商业用途(如 [转卖]进行直接盈利或[编辑后售卖]进行间接盈利)。
2、本站所有内容均由合作方或网友上传,本站不对文档的完整性、权威性及其观点立场正确性做任何保证或承诺!文档内容仅供研究参考,付费前请自行鉴别。
3、如文档内容存在违规,或者侵犯商业秘密、侵犯著作权等,请点击“违规举报”。

碎片内容

整式的乘除知识点总结及针对练习题

爱的疯狂+ 关注
实名认证
内容提供者

该用户很懒,什么也没介绍

相关文档

确认删除?
VIP
微信客服
  • 扫码咨询
会员Q群
  • 会员专属群点击这里加入QQ群
客服邮箱
回到顶部