电脑桌面
添加小米粒文库到电脑桌面
安装后可以在桌面快捷访问

新课标中考易错1500字词VIP免费

新课标中考易错1500字词_第1页
1/8
新课标中考易错1500字词_第2页
2/8
新课标中考易错1500字词_第3页
3/8
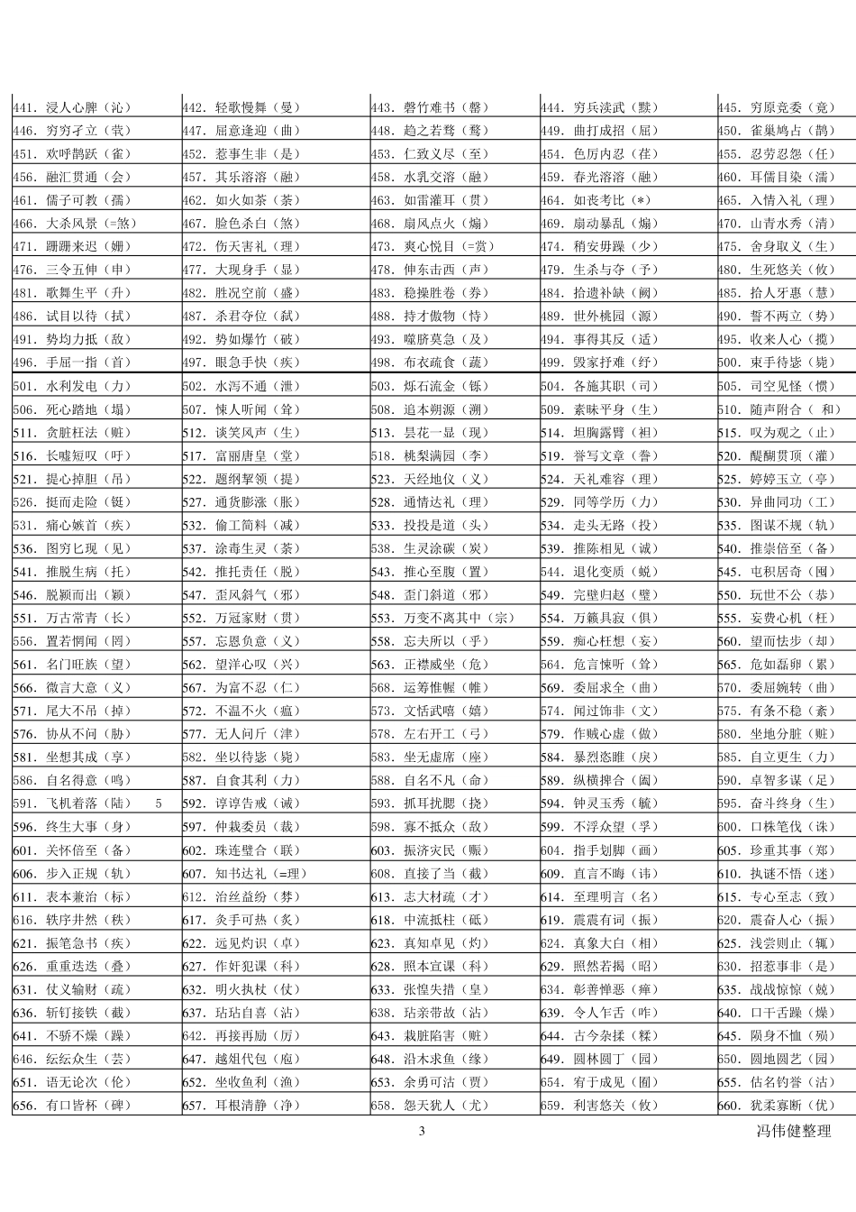
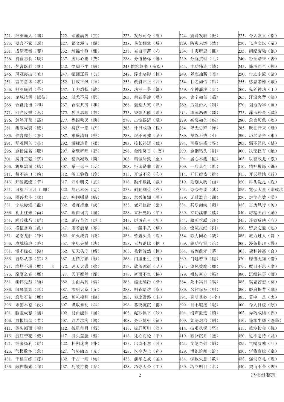
冯 伟 健 整 理 1 新 课 标 中 考 易 错 1500 字 词 001. 爱 带 ( 戴 ) 002. 白 晰 ( 皙 ) 003. 爆 乱 ( 暴 ) 004. 报 筹 ( 酬 ) 005. 暴 炸 ( 爆 ) 006. 卑 却 ( 怯 ) 007. 辩 析 ( 辨 ) 008. 恶 耗 ( 噩 ) 009. 材 华 ( 才 ) 010. 喝 采 ( 彩 ) 011. 翱 游 ( 遨 ) 012. 娘 两 ( 俩 ) 013. 更 叠 ( 迭 ) 014. 恰 商 ( 洽 ) 015. 起 迄 ( 讫 ) 016. 沾 辱 ( 玷 ) 017. 中 裁 ( 仲 ) 018. 雕 彻 ( 砌 ) 019. 陷 井 ( 阱 ) 020. 劈 谣 ( 辟 ) 021. 明 片 ( 名 ) 022. 梦 餍 ( 魇 ) 023. 缈 视 ( 藐 ) 024. 募 然 ( 蓦 ) 025. 蓦 捐 ( 募 ) 026. 通 辑 ( 缉 ) 027. 杂 踏 ( 沓 ) 028. 奕 棋 ( 弈 ) 029. 疏 峻 ( 浚 ) 030. 吉 详 ( 祥 ) 0 3 1 . 肖 象 ( 像 ) 0 3 2 . 开 消 ( 销 ) 0 3 3 . 撕 杀 ( 厮 ) 0 3 4 . 膺 品 ( 赝 ) 0 3 5 . 贮 立 ( 伫 ) 0 3 6 . 绉 纹 ( 皱 ) 0 3 7 . 躁 热 ( 燥 ) 0 3 8 . 肿 涨 ( 胀 ) 0 3 9 . 羁 靡 ( 縻) 0 4 0 . 描模( 摹) 0 4 1 . 遨 翔( 翱 ) 0 4 2 . 振撼( 震) 0 4 3 . 呕气( 怄) 0 4 4 . 亵赎( 渎) 0 4 5 . 恢谐( 诙) 0 4 6 . 渲泄( 宣) 0 4 7 . 宣染( 渲) 0 4 8 . 延申( 伸) 0 4 9 . 奢糜( 靡 ) 050. 毗临( 邻) 0 5 1 . 骠悍( 剽) 0 5 2 . 永 决 ( 诀 ) 0 5 3 . 欧 打 ( 殴 ) 0 5 4 . 座 落 ( 坐 ) 0 5 5 . 幅 射 ( 辐 ) 0 5 6 . 拥 带 ( 戴 ) 0 5 7 . 煤 碳 ( 炭 ) 0 5 8 . 编 篡 ( 纂 ) 0 5 9 . 按 磨 ( 摩 ) 0 6 0 . 爆 躁 ( 暴 ) 0 6 1 . 蜇 居 ( 蛰 ) 0 6 2 . 下 功 夫 ( 工 ) 0 6 3 .显 象 管 ( 像 ) 0 6 4 . 爆 发 户 ( 暴 ) 0 6 5 .造 事 者 ( 肇 ) 0 6 6 . 纹 身 ( 文 )...

1、当您付费下载文档后,您只拥有了使用权限,并不意味着购买了版权,文档只能用于自身使用,不得用于其他商业用途(如 [转卖]进行直接盈利或[编辑后售卖]进行间接盈利)。
2、本站所有内容均由合作方或网友上传,本站不对文档的完整性、权威性及其观点立场正确性做任何保证或承诺!文档内容仅供研究参考,付费前请自行鉴别。
3、如文档内容存在违规,或者侵犯商业秘密、侵犯著作权等,请点击“违规举报”。

碎片内容

新课标中考易错1500字词

您可能关注的文档

确认删除?
VIP
微信客服
  • 扫码咨询
会员Q群
  • 会员专属群点击这里加入QQ群
客服邮箱
回到顶部