电脑桌面
添加小米粒文库到电脑桌面
安装后可以在桌面快捷访问

通信工程定额库VIP免费

通信工程定额库_第1页
1/171
通信工程定额库_第2页
2/171
通信工程定额库_第3页
3/171
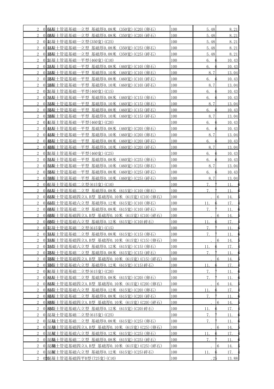
编码定额名称单位技工工日普工工日TGD1-001施工测量100米30TGD1-002人工开挖路面混凝土路面(150以下)100平米6.8861.92TGD1-003人工开挖路面混凝土路面(250以下)100平米16.16104.8TGD1-004人工开挖路面混凝土路面(350以下)100平米25.44147.68TGD1-005人工开挖路面混凝土路面(450以下)100平米34.72190.56TGD1-006人工开挖路面柏油路面(150以下)100平米3.834.2TGD1-007人工开挖路面柏油路面(250以下)100平米6.962.1TGD1-008人工开挖路面柏油路面(350以下)100平米1090TGD1-009人工开挖路面柏油路面(450以下)100平米13.1117.9TGD1-010人工开挖路面砂石路面(150以下)100平米1.614.4TGD1-011人工开挖路面砂石路面(250以下)100平米327TGD1-012人工开挖路面混凝土砌块路面100平米0.65.4TGD1-013人工开挖路面水泥花砖路面100平米0.54.5TGD1-014人工开挖路面条石路面100平米4.439.6TGD1-015开挖管道沟及人(手)孔坑(普通土)100立方米026TGD1-016开挖管道沟及人(手)孔坑(硬土)100立方米043TGD1-017开挖管道沟及人(手)孔坑(砂砾土)100立方米065TGD1-018开挖管道沟及人(手)孔坑(软石)100立方米5170TGD1-019开挖管道沟及人(手)孔坑坚石(人工)100立方米24458TGD1-020开挖管道沟及人(手)孔坑坚石(爆破)100立方米50180TGD1-021开挖管道沟及人(手)孔坑(冻土)100立方米0124.03TGD1-022回填土方(松填原土)100立方米016TGD1-023回填土方(夯填原土)100立方米026TGD1-024回填土方(夯填灰土)(2:8)100立方米1055TGD1-025回填土方(夯填灰土)(3:7)100立方米1060TGD1-026回填土方(夯填级配砂石)100立方米955TGD1-027回填土方(夯填碎石)100立方米1060TGD1-028手推车倒运土方100立方米116TGD1-029挡土板(管道沟)100M3.316.69TGD1-030挡土板(人孔坑)10个17.217.2TGD1-031管道沟抽水(弱水流)100m0.51.5TGD1-032管道沟抽水(中水流)100m0.53.5TGD1-033管道沟抽水(强水流)100m0.55.5TGD1-034人孔坑抽水(弱水流)个0.53.5TGD1-035人孔坑抽水(中水流)个0.55.5TGD1-036人孔坑抽水(强水流)个0.57.5TGD1-037手孔坑抽水(弱水流)个0.51.5TGD1-038手孔坑抽水(中水流)个0.52.5TGD1-039手孔坑抽水(强水流)个0.53.5TGD2-001管道碎石底基一立型(350宽)100M2.193.29TGD2-002管道碎石底基一平型(460宽)100M2.784.18TGD2-003管道碎石底基二立型(615宽)100M3.194.78TGD2-004管道碎石底基四平B型(725宽)100M3.75.55TGD2-005管道碎石底基四平A型(835宽)100M4.226.32TGD2-006管道碎石底基三立型(880宽)100M4.4...

1、当您付费下载文档后,您只拥有了使用权限,并不意味着购买了版权,文档只能用于自身使用,不得用于其他商业用途(如 [转卖]进行直接盈利或[编辑后售卖]进行间接盈利)。
2、本站所有内容均由合作方或网友上传,本站不对文档的完整性、权威性及其观点立场正确性做任何保证或承诺!文档内容仅供研究参考,付费前请自行鉴别。
3、如文档内容存在违规,或者侵犯商业秘密、侵犯著作权等,请点击“违规举报”。

碎片内容

通信工程定额库

您可能关注的文档

确认删除?
VIP
微信客服
  • 扫码咨询
会员Q群
  • 会员专属群点击这里加入QQ群
客服邮箱
回到顶部