电脑桌面
添加小米粒文库到电脑桌面
安装后可以在桌面快捷访问

有理数的混合运算强化练习题可用VIP免费

有理数的混合运算强化练习题可用_第1页
1/4
有理数的混合运算强化练习题可用_第2页
2/4
有理数的混合运算强化练习题可用_第3页
3/4
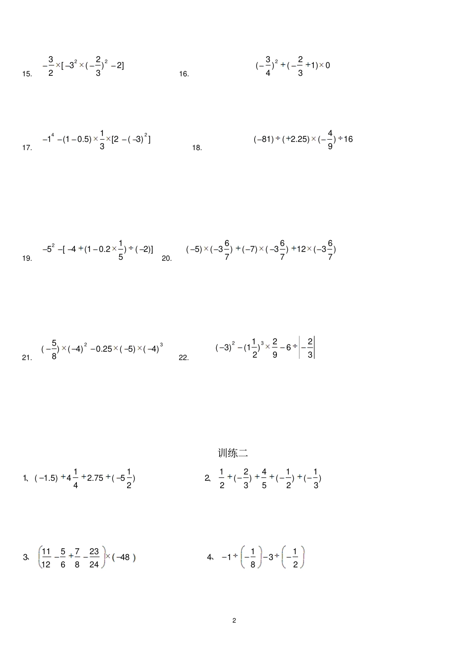
1 有理数的混合运算练习题训练一1.2( 3)2 2. 12411()()()235233. 11( 1.5)42.75( 5)42 4. 8( 5)635.3145()2 6. 25()()( 4.9)0.656722( 10)5()5 8. 323( 5)()59.25( 6)( 4)( 8) 10. 1612()(2)47211.2( 16503)( 2)5 12. 32( 6)8( 2)( 4)513.21122()(2 )2233 14. 199711(10.5)32 15.2232[ 3()2]23 16. 232()(1)04317.4211(10.5)[2( 3) ]3 18. 4( 81)( 2.25)()16919.215[ 4(10.2)( 2)]5 20. 666( 5)( 3)( 7)( 3)12( 3)77721.235()( 4)0.25( 5)( 4)8 22. 23122( 3)(1 )6293训练二111 ( 1.5)42.75( 5)42、124112()()()23523、115723348126824、1141382、3 4 ( 81)( 2.25)()1695、666 ( 5)( 3)3( 7)1237776、31118 383183824277、1111455667788、训练三1、13)18()14(202、39145123、(-431)-[(-431)-(-332)]4、810655、(- 2)÷(-21 )×(- 2)6、482458341327、— 22— (— 2)2— 23+(— 2)38、33514( 1)( 8)( 3)[( 2)5]217训练四(1)23322( 3)()6293(2)22299993( 3)( 2)2( 98)98(3)3223731( 25)( 1 )()()( 0.1)940.14 (4)23733553(1)(1 0.6)()()20( 1)4423(5)34111( 0.25)( 2)7()5( 8)4( 0.125)168(6)1111...1 4477 1091 9425、已知322111124;33221129234; (10 分) 33322112336344;33332211234100454...(1) 猜想填空:333331123...(1)4nn( )2 ( )2(2) 计算①33333123...99100②33333246...98100

1、当您付费下载文档后,您只拥有了使用权限,并不意味着购买了版权,文档只能用于自身使用,不得用于其他商业用途(如 [转卖]进行直接盈利或[编辑后售卖]进行间接盈利)。
2、本站所有内容均由合作方或网友上传,本站不对文档的完整性、权威性及其观点立场正确性做任何保证或承诺!文档内容仅供研究参考,付费前请自行鉴别。
3、如文档内容存在违规,或者侵犯商业秘密、侵犯著作权等,请点击“违规举报”。

碎片内容

有理数的混合运算强化练习题可用

文库当当响+ 关注
实名认证
内容提供者

该用户很懒,什么也没介绍

相关文档

确认删除?
VIP
微信客服
  • 扫码咨询
会员Q群
  • 会员专属群点击这里加入QQ群
客服邮箱
回到顶部