电脑桌面
添加小米粒文库到电脑桌面
安装后可以在桌面快捷访问

2014定额机械台班单价组成表(江苏省)VIP免费

2014定额机械台班单价组成表(江苏省)_第1页
1/6
2014定额机械台班单价组成表(江苏省)_第2页
2/6
2014定额机械台班单价组成表(江苏省)_第3页
3/6
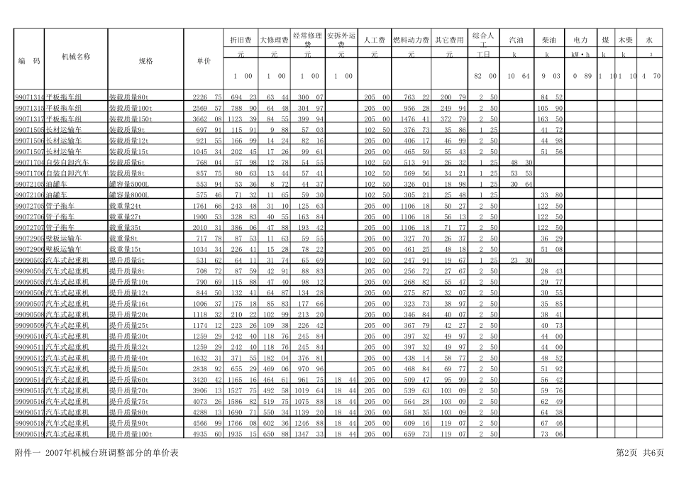
折旧费大修理费经常修理费安拆外运费人工费燃料动力费其它费用综合人工 汽油柴油电力煤木柴水元 元 元 元 元元元 工日 kgkgkW·hkgkgm31.001.001.001.0082.0010.649.030.891.10 1.104.7099053511泥浆罐输送车4000L567.2160.5212.9755.64102.50318.7716.811.2529.9699070903载货汽车装载质量2t366.4522.304.3724.54102.50201.1011.641.2518.9099070904载货汽车装载质量2.5t386.4423.774.6626.15102.50216.6312.731.2520.3699070905载货汽车装载质量3t426.6524.654.8327.12102.50252.9114.641.2523.7799070906载货汽车装载质量4t453.5027.475.3930.22102.50271.1116.811.2525.4899070907载货汽车装载质量5t484.4031.466.1734.61102.50290.6818.981.2532.1999070908载货汽车装载质量6t510.5937.807.4141.58102.50300.1621.141.2533.2499070909载货汽车装载质量8t567.9360.7511.9146.82102.50320.4725.481.2535.4999070910载货汽车装载质量10t742.7873.4314.4056.59205.00361.4731.892.5040.0399070911载货汽车装载质量12t888.66116.7522.8989.97205.00417.8236.232.5046.2799070912载货汽车装载质量15t1031.27137.8827.04106.26205.00512.3642.732.5056.7499070913载货汽车装载质量18t988.84149.0929.24114.90102.50543.8849.231.2560.2399070914载货汽车装载质量20t1044.22164.3532.23126.66102.50564.9253.561.2562.5699071101自卸汽车装载质量2t363.3134.405.5124.45102.50183.7512.701.2517.2799071102自卸汽车装载质量4t542.4045.048.4437.47102.50333.4615.491.2531.3499071103自卸汽车装载质量5t555.1652.658.4337.42102.50333.4620.701.2531.3499071104自卸汽车装载质量6t589.4868.2812.7156.43102.50327.4322.131.2536.2699071105自卸汽车装载质量8t685.46109.5017.5358.54102.50369.6027.791.2540.9399071106自卸汽车装载质量10t856.59133.8321.4271.54205.00390.0134.792.5043.1999071107自卸汽车装载质量12t924.09 152.7524.4581.66205.00420.7139.522.5046.5999071108自卸汽车装载质量15t1018.21170.3327.2691.05205.00477.9646.612.5052.9399071109自卸汽车装载质量18t1112.61198.7231.81106.23205.00517.1553.702.5057.2799071110自卸汽车装载质量20t1202.84231.1637.00123.57205.00545.4160.702.5060.4099071305平板拖车组装载质量8t615.8560.9716.8479.65102.50319.7336.161.2530.0599071306平板拖车组装载质量10t802.5772....

1、当您付费下载文档后,您只拥有了使用权限,并不意味着购买了版权,文档只能用于自身使用,不得用于其他商业用途(如 [转卖]进行直接盈利或[编辑后售卖]进行间接盈利)。
2、本站所有内容均由合作方或网友上传,本站不对文档的完整性、权威性及其观点立场正确性做任何保证或承诺!文档内容仅供研究参考,付费前请自行鉴别。
3、如文档内容存在违规,或者侵犯商业秘密、侵犯著作权等,请点击“违规举报”。

碎片内容

2014定额机械台班单价组成表(江苏省)

小辰3+ 关注
实名认证
内容提供者

出售各种资料和文档

确认删除?
VIP
微信客服
  • 扫码咨询
会员Q群
  • 会员专属群点击这里加入QQ群
客服邮箱
回到顶部