电脑桌面
添加小米粒文库到电脑桌面
安装后可以在桌面快捷访问

《信号分析与处理》(第二版)徐科军、黄云志课后答案VIP专享VIP免费

《信号分析与处理》(第二版)徐科军、黄云志课后答案_第1页
1/8
《信号分析与处理》(第二版)徐科军、黄云志课后答案_第2页
2/8
《信号分析与处理》(第二版)徐科军、黄云志课后答案_第3页
3/8
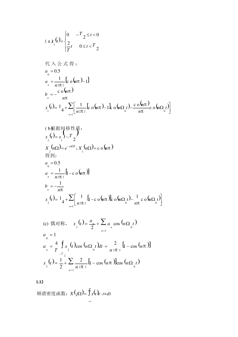
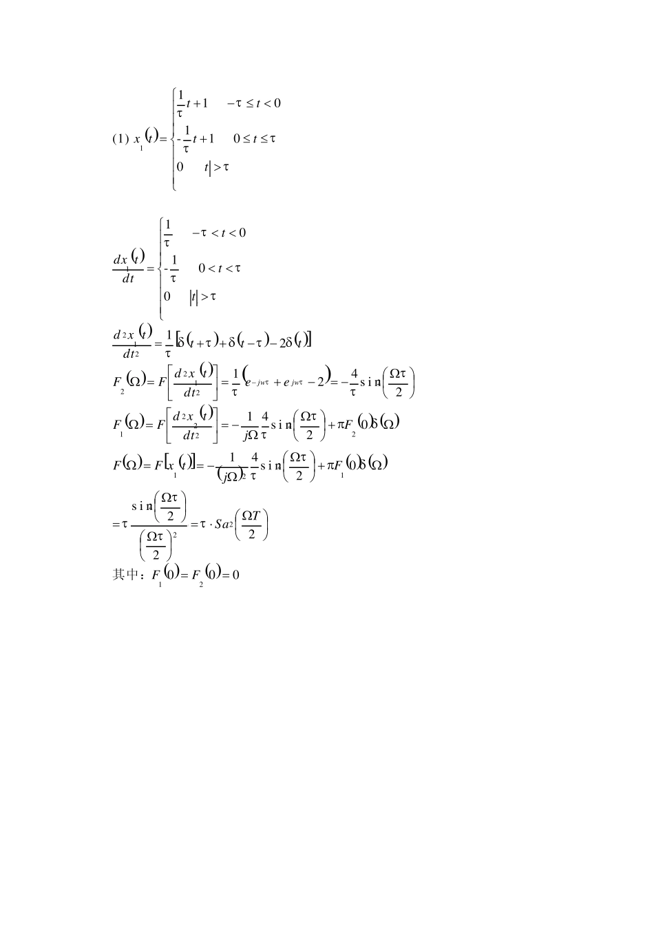
Chap1. 1.4                1212122121122121222y11102y0.5111y0.51.513y013013y0.51110.51.513tttttxtxtxxtdxxtxxtdtdtttxxtdtdtttttorttorttttttt             1.8     0000000001200220022002cossin222cos0,1,2,2sin0,1,2,nnnTTTnTTnTax tantbntax t dtTax tnt dtnTbx tnt dtnT傅立叶级数公式   1002212201c o sc o sc o s1c o s141c o s1c o s15.0202020 ( a )nnntnnntnnntxnnbnnaaTttTtTtx代 入 公 式 得 :   10022222012212c o s1c o sc o s11411c o s115.0c o s2( b )nnnTjntnntnnntxnbnnaannXenXTtxtx得到:根据时移性质:    1022322020201003coscos1221cos12cos41cos2 (c)nTnnntnnntxnndttntxTaatnaatx偶对称, 1 .1 2  dtetxjXtj频谱密度函数:                   000222si n02si n4102si n412si n42121001-010011-011 (1)2122212212222212212221211      FFTSaFjtxFFFjdttxdFFeedttxdFFtttdttxdtttdttdxttttttxjwjw其中:    ...

1、当您付费下载文档后,您只拥有了使用权限,并不意味着购买了版权,文档只能用于自身使用,不得用于其他商业用途(如 [转卖]进行直接盈利或[编辑后售卖]进行间接盈利)。
2、本站所有内容均由合作方或网友上传,本站不对文档的完整性、权威性及其观点立场正确性做任何保证或承诺!文档内容仅供研究参考,付费前请自行鉴别。
3、如文档内容存在违规,或者侵犯商业秘密、侵犯著作权等,请点击“违规举报”。

碎片内容

《信号分析与处理》(第二版)徐科军、黄云志课后答案

确认删除?
VIP
微信客服
  • 扫码咨询
会员Q群
  • 会员专属群点击这里加入QQ群
客服邮箱
回到顶部