电脑桌面
添加小米粒文库到电脑桌面
安装后可以在桌面快捷访问

关于范数的理解或定义

关于范数的理解或定义_第1页
1/10
关于范数的理解或定义_第2页
2/10
关于范数的理解或定义_第3页
3/10
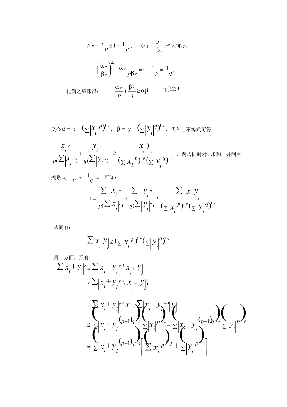
I、向量的范数 向量xR n 的范数f(x)是定义在R n 空间上取值为非负实数且满足下列性质的函数: 1  对于所有的x≠ 0,xR n 有 f(x)>0; (非负性) 2  对于所有的 R 有 f( x) =  f(x); (正齐性) 3  对于所有的x,yR n 有 f(x+y)f(x)+f(y). (三角不等式) 一、 一般情况下,f(x)的具体模式如下: px = pnipix11)(, p 1 也称它为p-范数。 下证p-范数满足上述的三个性质: 1、对于所有的xR n , x≠ 0,pnipix11)(显然是大于0 的,故性质1  成立。 2、 由px = pnipix11)( = pnipix11)( = px 知性质2  成立。 3、欲验证性质3  ,我们的借助下列不等式: 设 p>1,q>1,且p1 + q1 = 1,则对所有的0,有  qpqp 证: 考虑函数ptptt1)(,因为)1(1)(11'ptpt,由 t'=0 t=1,又因为01)1(''pq,所以当t = 1 的时候)(t取最大值,则有: ppttp111, 令t = qp,代入可得: qppqppqp1111, 化简之后即得:  qpqp 证毕! 又令)(1ipxxpi,)(1iqyyqi,代入上不等式可得: )()(iqiipiyyxxqqpp )()(11yxyxiqipqpii ,两边同时对i求和,并利用 关系式p1 + q1 = 1 可知: )()(11)()(1yxyxyyxxiqipiqiipiqpiiqqpp 从而有: )()(11yxyxiqipqpii 另一方面,又有: yxyxyxiippiiii1 )(1yxyxiipii  yyxxyxipipiiii11   yyxxyxipiiqpipiiqppqpq111111   yxyxipippiiqppq1111   yxyxipippiippq111 左右两边同时除以yxiipq1得:    yxyxipipiipppp111。 由此可知:p-范数对于性质 3  也是成立。(把这个也弄懂了,好高兴!) 下面是几种p-范数的特例: 1  1x = niix1; (此时p=1) 2  2x = 2112)(niix; (此时p=2) 3  x = ni1maxix ; (此时p= ) 对于这第三种的特例,事实上,设 = x= ni1maxix ,有 plimpx = plimpnipix11)( =  即是...

1、当您付费下载文档后,您只拥有了使用权限,并不意味着购买了版权,文档只能用于自身使用,不得用于其他商业用途(如 [转卖]进行直接盈利或[编辑后售卖]进行间接盈利)。
2、本站所有内容均由合作方或网友上传,本站不对文档的完整性、权威性及其观点立场正确性做任何保证或承诺!文档内容仅供研究参考,付费前请自行鉴别。
3、如文档内容存在违规,或者侵犯商业秘密、侵犯著作权等,请点击“违规举报”。

碎片内容

关于范数的理解或定义

您可能关注的文档

确认删除?
VIP
微信客服
  • 扫码咨询
会员Q群
  • 会员专属群点击这里加入QQ群
客服邮箱
回到顶部