电脑桌面
添加小米粒文库到电脑桌面
安装后可以在桌面快捷访问

函数的极限及函数的连续性VIP免费

函数的极限及函数的连续性_第1页
1/7
函数的极限及函数的连续性_第2页
2/7
函数的极限及函数的连续性_第3页
3/7
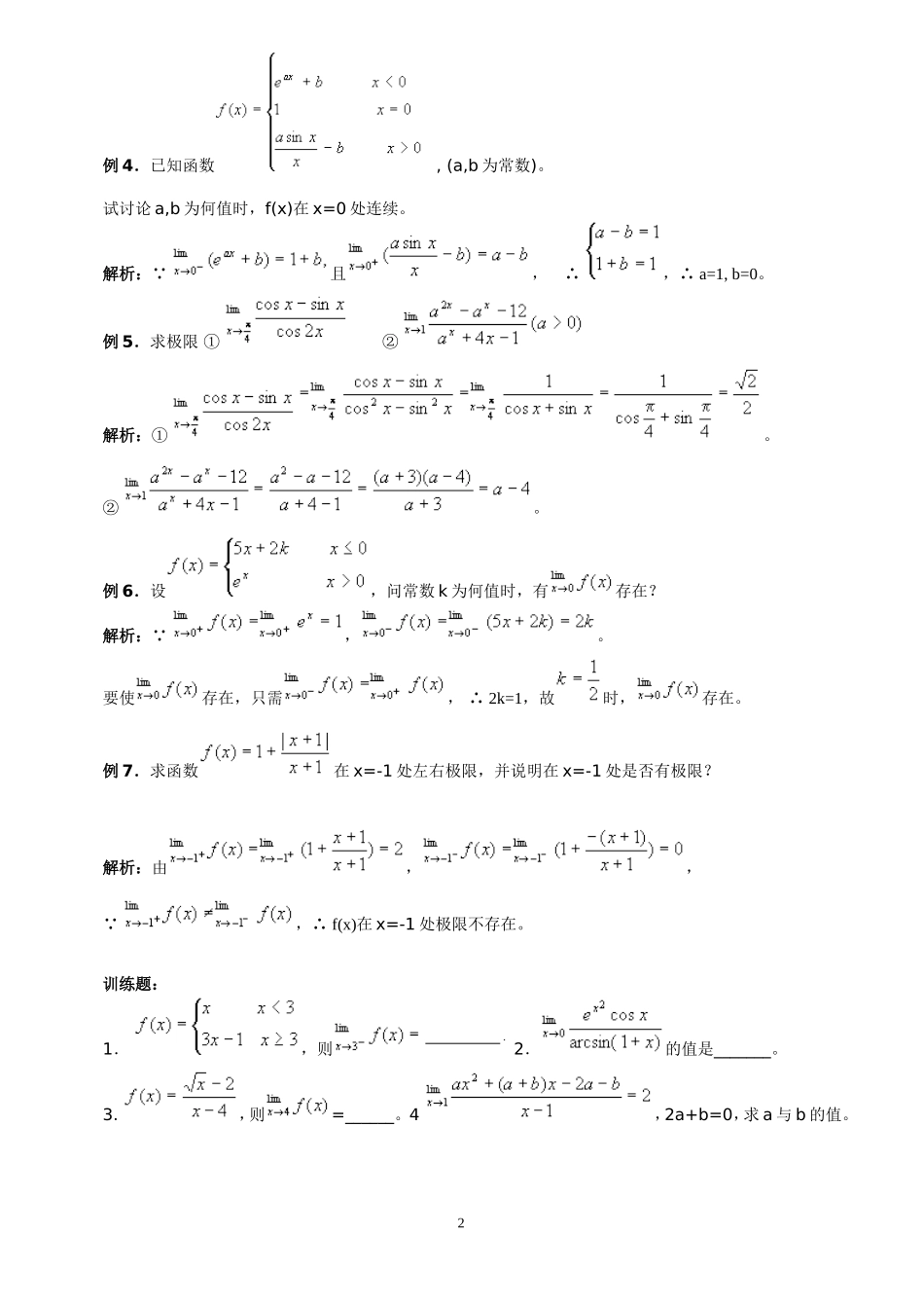
函数的极限及函数的连续性一、重点难点分析:①此定理非常重要,利用它证明函数是否存在极限。②要掌握常见的几种函数式变形求极限。③函数f(x)在x=x0处连续的充要条件是在x=x0处左右连续。④计算函数极限的方法,若在x=x0处连续,则。⑤若函数在[a,b]上连续,则它在[a,b]上有最大值,最小值。二、典型例题例1.求极限①②③④解析:①。②。③。④。例2.已知,求m,n。解:x2+mx+2含有x+2这个因式∴x=-2是方程x2+mx+2=0的根,∴m=3代入求得n=-1。例3.讨论的连续性。解析:函数的定义域为(-∞,+∞),由初等函数的连续性知,在非分界点处函数是连续的,又,∴,∴f(x)在x=1处连续。由,从而f(x)在点x=-1处不连续。∴f(x)在(-∞,-1),(-1,+∞)上连续,x=-1为函数的不连续点。1例4.已知函数,(a,b为常数)。试讨论a,b为何值时,f(x)在x=0处连续。解析:∵且,∴,∴a=1,b=0。例5.求极限①②解析:①。②。例6.设,问常数k为何值时,有存在?解析:∵,。要使存在,只需,∴2k=1,故时,存在。例7.求函数在x=-1处左右极限,并说明在x=-1处是否有极限?解析:由,,∵,∴f(x)在x=-1处极限不存在。训练题:1.,则2.的值是_______。3.,则=______。4,2a+b=0,求a与b的值。25.已知,求a的值。参考答案:1.32.3.4.a=2,b=-45.a=0在线测试选择题2.和存在是函数存在的()。A、充分非必要条件B、必要非充分条件C、充要条件D、既不充分又不必要条件3.,则下列结论中不正确的是()。A、B、C、f(x0)=aD、f(x0)可能不为a4.设,若存在,则常数b的值是()。A、0B、1C、-1D、e5.对于函数,给定下列命题①②③④其中正确的是()。A、①和②B、③和④C、①②③④都成立D、③6.有下面四个命题:(1)如果函数f(x)在点x0处极限存在,那么f(x)在点x0处连续;(2)如果函数f(x)在点x0处左连续又有右极限,那么f(x)在点x0处连续;(3)如果函数f(x)在点x0处不连续,g(x)在点x0处连续,则f(x)g(x)在点x0处不连续;(4)函数在[-1,1]上存在最大值和最小值。其中错误的命题有()。A、1个B、2个C、3个D、4个7.“函数f(x)在点x0处有定义且极限存在”是“f(x)在点x0处连续”的()。A、充分不必要条件B必要不充分条件C、充分必要条件D、既不充分也不必要条件38.已知函数则下列结论正确的是()。A、f(x)在点x=1处不连续,在点x=2处连续B、f(x)在点x=1处连续,在点x=2处不连续C、f(x)在点x=1和x=2处都不连续D、f(x)在点x=1和x=2处都连续9.设函数在区间[0,+∞]上连续,则实数a的值是()。A、1B、2C、3D、010.对函数,下列说法正确的是()。A、f(x)在x=1处连续,在开区间(0,1)内不连续B、f(x)在x=1处不连续,在开区间(0,1)内连续C、f(x)在x=1处及开区间(0,1)内均连续D、f(x)在x=1处及开区间(0,1)内都不连续答案与解析答案:2.B3.C4.B5.A6.D7.B8.D9.B10.B解析:2.若≠,则函数不存在。3根据函数在一点处的极限、左极限和右极限的定义:,所以A、B正确;,需看函数在点x=x0处是否有定义,因此选C。4.提示:若存在,则,,,所以b=1。5.提示:容易求得①②正确,也可知≠,所以不存在,③④不成立。7.提示:f(x)在点x0处连续必须满足三个条件:(1)函数f(x)在点x0处有定义;(2)存在;4(3),即函数在点x0处的极限值等于这一点的函数值。因此“函数f(x)在点x0处有定义且极限存在”是“f(x)在点x0处连续”的必要不充分条件。8.提示:首先,函数在点x=1和点x=2处有定义,而且,。所以f(x)在点x=1和x=2处都连续。9.提示:因为函数在区间[0,+∞]上连续,所以。10.提示:函数,其中x≠1,所以f(x)在x=1处不连续;当x≠1时,在开区间(0,1)内连续。567

1、当您付费下载文档后,您只拥有了使用权限,并不意味着购买了版权,文档只能用于自身使用,不得用于其他商业用途(如 [转卖]进行直接盈利或[编辑后售卖]进行间接盈利)。
2、本站所有内容均由合作方或网友上传,本站不对文档的完整性、权威性及其观点立场正确性做任何保证或承诺!文档内容仅供研究参考,付费前请自行鉴别。
3、如文档内容存在违规,或者侵犯商业秘密、侵犯著作权等,请点击“违规举报”。

碎片内容

函数的极限及函数的连续性

您可能关注的文档

文章天下+ 关注
实名认证
内容提供者

各种文档应有尽有

相关文档

确认删除?
VIP
微信客服
  • 扫码咨询
会员Q群
  • 会员专属群点击这里加入QQ群
客服邮箱
回到顶部