电脑桌面
添加小米粒文库到电脑桌面
安装后可以在桌面快捷访问

多元函数微分法及其应用习题及答案

多元函数微分法及其应用习题及答案_第1页
1/29
多元函数微分法及其应用习题及答案_第2页
2/29
多元函数微分法及其应用习题及答案_第3页
3/29
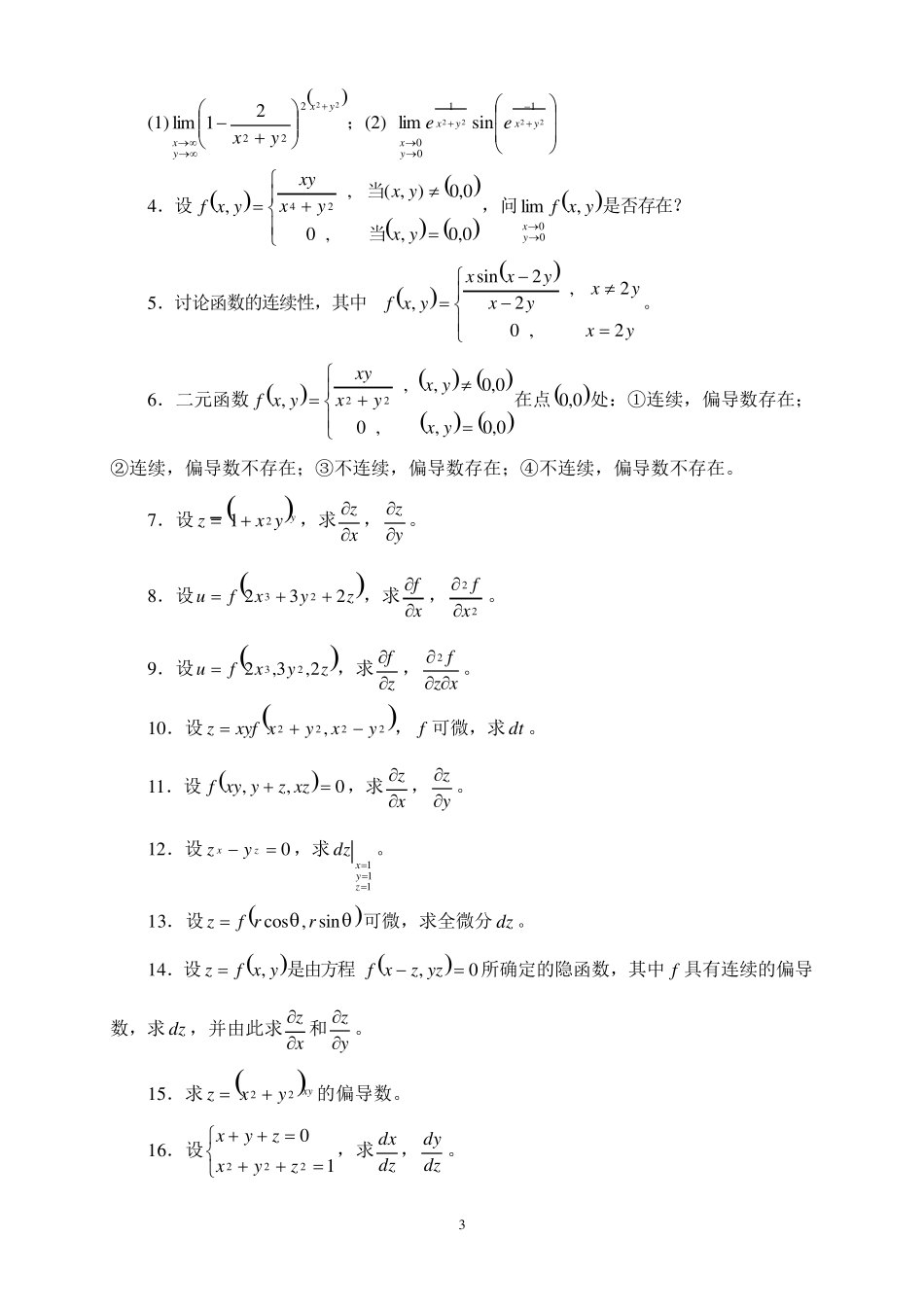
1 第八章 多元函数微分法及其应用 (A) 1.填空题 (1)若yxfz,在区域D 上的两个混合偏导数yxz 2,xyz 2 ,则在D 上, xyzyxz22。 (2)函数yxfz,在点00, yx处可微的 条件是yxfz,在点00, yx处的偏导数存在。 (3)函数yxfz,在点00, yx可微是yxfz,在点00, yx处连续的 条件。 2.求下列函数的定义域 (1)yxz;(2)22arccosyxzu 3.求下列各极限 (1)xxyyxsinlim00; (2)11lim00xyxyyx; (3)22222200)()cos(1limyxyxyxyx 4.设 xyxzln,求yxz23及23yxz。 5.求下列函数的偏导数 (1)xyarctgz ;(2) xyzln;(3)32zxyeu 。 6.设utuvzcos2 ,teu ,tvln,求全导数dtdz 。 7.设zyeux,tx  ,tysin, tzcos,求 dtdu 。 8.曲线4422yyxz,在点(2,4,5)处的切线对于 x 轴的倾角是多少? 9.求方程1222222czbyax所确定的函数z 的偏导数。 10.设yxyezx2sin2 ,求所有二阶偏导数。 2 11.设yxfz,是由方程 yzzxln确定的隐函数,求xz ,yz 。 12.设xyeexy,求dxdy 。 13.设yxfz,是由方程03 xyze z确定的隐函数,求xz ,yz ,yxz 2。 14.设yyezxcos2 ,求全微分dz。 15.求函数222lnyxz在点 2,1的全微分。 16.利用全微分求2201.498.2的近似值。 17.求抛物面22yxz与抛物柱面2xy 的交线上的点 2,1,1P处的切线方程和平面方程。 18.求曲面3914222zyx上点 3,1,2 P处的切平面方程和法线方程。 19.求曲线tx34,2ty ,3tz 上点0000,,zyxM,使在该点处曲线的切线平行于平面62zyx。 20.求函数224,yxyxyxf的极值。 21.求函数yyxeyxfx2,22的极值。 22.要建造一个容积为 10 立方米的无盖长方体贮水池,底面材料单价每平方米 20元,侧面材料单价每平方米 8 元。问应如何设计尺寸,方便材料造价最省? (B) 1.求下列函数的定义域 (1)222410lnlnarcsinyxyxz;(2)222241yxyxu 2.(1)设22,yxxyyxf,求yxf,,xyyxf,。 (2)设yxyxf2,,求 yxfxyf,, 3.求下列函数...

1、当您付费下载文档后,您只拥有了使用权限,并不意味着购买了版权,文档只能用于自身使用,不得用于其他商业用途(如 [转卖]进行直接盈利或[编辑后售卖]进行间接盈利)。
2、本站所有内容均由合作方或网友上传,本站不对文档的完整性、权威性及其观点立场正确性做任何保证或承诺!文档内容仅供研究参考,付费前请自行鉴别。
3、如文档内容存在违规,或者侵犯商业秘密、侵犯著作权等,请点击“违规举报”。

碎片内容

多元函数微分法及其应用习题及答案

小辰7+ 关注
实名认证
内容提供者

出售各种资料和文档

确认删除?
VIP
微信客服
  • 扫码咨询
会员Q群
  • 会员专属群点击这里加入QQ群
客服邮箱
回到顶部