电脑桌面
添加小米粒文库到电脑桌面
安装后可以在桌面快捷访问

山东2013年高考分数段统计表

山东2013年高考分数段统计表_第1页
1/26
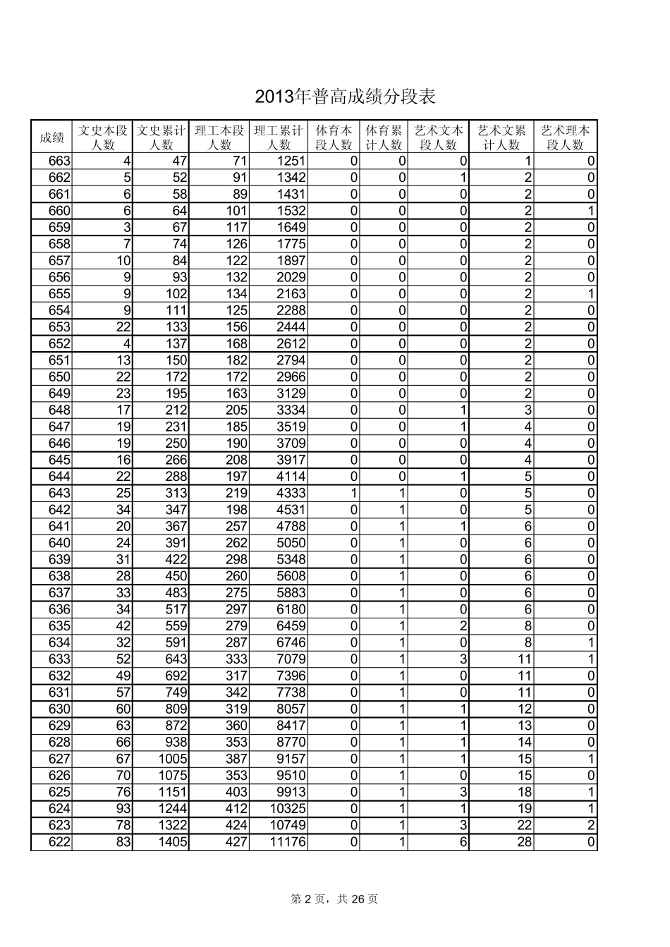
山东2013年高考分数段统计表_第2页
2/26
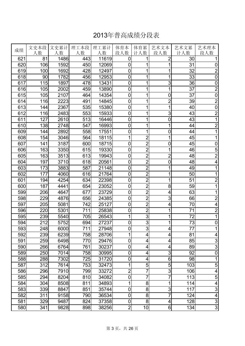
山东2013年高考分数段统计表_第3页
3/26
2013年普高成绩分段表成绩文史本段人数文史累计人数理工本段人数理工累计人数体育本段人数体育累计人数艺术文本段人数艺术文累计人数艺术理本段人数7050020200000070400323000007030012400000702001250000070100328000007000053300000699004370000069800744000006970010540000069600458000006950096700000694008750000069300378000006920098700000691001810500000690001111600000689005121000006880014135000006870021156000006860011167000006850011178000006840016194000006830019213000006820026239000006810030269000006800017286000006790022308000006780032340000006770035375000006760038413000006750042455000006741010434980000067301044542000006721115459600110671213726680001067041763731000106693206679700010668222598560001066722477933000106662268010130001066573375108800010664104392118000010第 1 页,共 26 页2013年普高成绩分段表成绩文史本段人数文史累计人数理工本段人数理工累计人数体育本段人数体育累计人数艺术文本段人数艺术文累计人数艺术理本段人数663447711251000106625529113420012066165889143100020660664101153200021659367117164900020658774126177500020657108412218970002065699313220290002065591021342163000216549111125228800020653221331562444000206524137168261200020651131501822794000206502217217229660002064923195163312900020648172122053334001306471923118535190014064619250190370900040645162662083917000406442228819741140015064325313219433311050642343471984531010506412036725747880116064024391262505001060639314222985348010606382845026056080106063733483275588301060636345172976180010606354255927964590128063432591287674601081633526433337079013111632496923177396010110631577493427738010110630608093198057011120629638723608417011130628669383538770011140627671005387915701115162670107535395100101506257611514039913013181624931244412103250111916237813224241074901322262283140542711176016280第 2 页,共 26 页2013年普高成绩分段表成绩文史本段人数文史累计人数理工本段人数理工累计人数体育本段人数体育累计人数艺术文本段人数艺术文累计人数艺术理本段人数6218114864431161901230162010615924501206901131061910016924281249701132261890178245...

1、当您付费下载文档后,您只拥有了使用权限,并不意味着购买了版权,文档只能用于自身使用,不得用于其他商业用途(如 [转卖]进行直接盈利或[编辑后售卖]进行间接盈利)。
2、本站所有内容均由合作方或网友上传,本站不对文档的完整性、权威性及其观点立场正确性做任何保证或承诺!文档内容仅供研究参考,付费前请自行鉴别。
3、如文档内容存在违规,或者侵犯商业秘密、侵犯著作权等,请点击“违规举报”。

碎片内容

山东2013年高考分数段统计表

您可能关注的文档

确认删除?
VIP
微信客服
  • 扫码咨询
会员Q群
  • 会员专属群点击这里加入QQ群
客服邮箱
回到顶部