电脑桌面
添加小米粒文库到电脑桌面
安装后可以在桌面快捷访问

刘瑞梅初中数学中考计算题复习(最全)-含解答VIP免费

刘瑞梅初中数学中考计算题复习(最全)-含解答_第1页
1/25
刘瑞梅初中数学中考计算题复习(最全)-含解答_第2页
2/25
刘瑞梅初中数学中考计算题复习(最全)-含解答_第3页
3/25
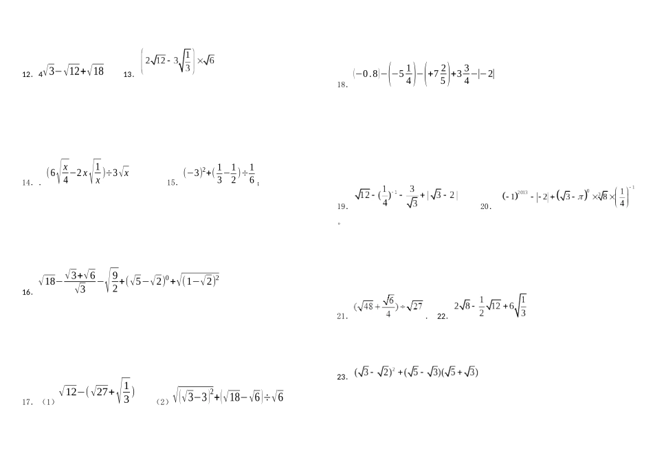
初中数学计算题大全(一)计算下列各题1.(π−2)0−|1−tan600|−(12)−1+6√32.425−(−935)−714−1343.−14−(1+0.5)×13÷(−4)4.5.++6.7.8.(1)(−12)−2+33+20110(2)23×1012−992×239、(1)-23+(-37)-(-12)+45;(2)(23−16−29)׿¿(-6)2.10.11.(1)(2)01(3)27123242338232812564.0601651274312.4√3−√12+√1813.14..(6√x4−2x√1x)÷3√x15.(−3)2+(13−12)÷16;16.√18−√3+√6√3−√92+(√5−√2)0+√(1−√2)217.(1)√12−(√27+√13)(2)√(√3−3)2+(√18−√6)÷√618.(−0.8)−(−514)−(+725)+334−|−2|19.20.。21..22.23.参考答案1.解=1-|1-√3|-2+2√3=1+1-√3-2+2√3=√3【解析】略2.5【解析】原式=14-9=53.−78【解析】解:−14−(1+0.5)×13÷(−4)=−1−32×13×(−14)=−1+18=−78先算乘方,再算乘除,最后算加减,有括号的先算括号里面的。注意:-14底数是4,有小数又有分数时,一般都化成分数再进行计算。4.==.【解析】略5.36.4【解析】主要考查实数的运算,考查基本知识和基本的计算能力,题目简单,但易出错,计算需细心。1、++2、7.【解析】试题分析:先化简,再合并同类二次根式即可计算出结果.试题解析:考点:二次根式的运算.8.(1)32(2)9200【解析】(1)原式=4+27+1=32(2)原式=23(1012-992)(1分)=23(101+99)(101-99)(2分)=23¿200×2=9200(1分)利用幂的性质求值。利用乘法分配律求值。9.(1)-3;(2)10【解析】试题分析:(1)把有理数正负数分开相加即可;(2)先算乘方,再运用乘法分配律,要注意不要漏乘即可.试题解析:解:(1)-23+(-37)-(-12)+45=—23—37+12+45=—23—37+12+45=-3;01(3)27123213321322342338(2)(23−16−29)׿¿(-6)2=(23−16−29)׿¿36=24—6—8=10考点:有理数的混合运算10.-30【解析】原式=(34+712−56)×(−60)=34×(−60)+712×(−60)−56×(−60)=-45-35+50=-3011.(1);(2).【解析】试题分析:(1)先把二次根式化成最简二次根式之后,再合并同类二次根式即可求出答案;(2)先把二次根式化成最简二次根式之后,再进行二次根式的乘除法运算.试题解析:(1);(2)考点:二次根式的化简与计算.12.13.【解析】此题考查根式的计算解:12.原式=.13.原式=.答案:【小题1】【小题2】14.解:原式=(3√x−2√x)÷3√x=13【解析】略15.7.【解析】试题分析:注意运算顺序.试题解析:=考点:有理数的混合运算.16.解:原式=3√2−(√3√3+√6√3)−3√22+1+(√2−1)…………4分=3√22−1−√2+1+√2−1…………………………6分=3√22−1………………………………………………8分【解析】略17.(1)−43√3(2)2【解析】试题分析:(1)(2)考点:实数运算点评:本题难度较低,主要考查学生对平方根实数运算知识点的掌握。要求学生牢固掌握解题技巧。18.145【解析】试题分析:(−0.8)−(−514)−(+725)+334−|−2|=−45+514−725+334+2=−45−725+514+334+2=145考点:有理数的运算19.-2.【解析】试题分析:根据负整数指数幂的意义和绝对值的意义得到原式=2-4-+2-,然后合并即可.试题解析:原式=2-4-+2-=-2.考点:1.二次根式的混合运算;2.负整数指数幂.20.解:原式=。【解析】针对有理数的乘方,绝对值,零指数幂,立方根化简,负整数指数幂5个考点分别进行计算,然后根据实数的运算法则求得计算结果。21.【解析】试题分析:先进行二次根式化简,再进行计算即可.试题解析:考点:二次根式的化简.22.---------------------------------------------------------------------6分--------23.------------------------------------------------------------------6分--------【解析】略初中数学计算题大全(二)1.计算题:①;②解方程:.2.计算:+(π2013﹣)0.3.计算:|1﹣|2cos30°+﹣(﹣)0×(﹣1)2013.4.计算:﹣.5.计算:.6、.7.计算:.8.计算:.9.计算:.10.计算:.11.计算:.12..1...

1、当您付费下载文档后,您只拥有了使用权限,并不意味着购买了版权,文档只能用于自身使用,不得用于其他商业用途(如 [转卖]进行直接盈利或[编辑后售卖]进行间接盈利)。
2、本站所有内容均由合作方或网友上传,本站不对文档的完整性、权威性及其观点立场正确性做任何保证或承诺!文档内容仅供研究参考,付费前请自行鉴别。
3、如文档内容存在违规,或者侵犯商业秘密、侵犯著作权等,请点击“违规举报”。

碎片内容

刘瑞梅初中数学中考计算题复习(最全)-含解答

文章天下+ 关注
实名认证
内容提供者

各种文档应有尽有

相关文档

确认删除?
VIP
微信客服
  • 扫码咨询
会员Q群
  • 会员专属群点击这里加入QQ群
客服邮箱
回到顶部