电脑桌面
添加小米粒文库到电脑桌面
安装后可以在桌面快捷访问

离散型随机变量练习题

离散型随机变量练习题_第1页
1/7
离散型随机变量练习题_第2页
2/7
离散型随机变量练习题_第3页
3/7
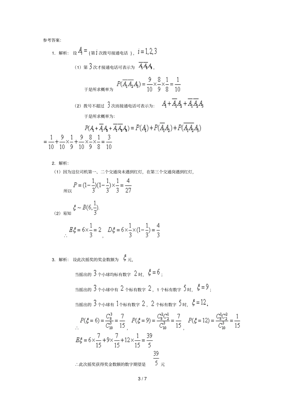
1 / 7 离散型随机变量练习题一人忘记了电话号码的最后一个数字,因而他随意地拨最后一个号码,假设拨过了的号码不再重复,试求下列事件的概率:(1)第次拨号才接通电话;(2)拨号不超过次而接通电话2.出租车司机从饭店到火车站途中有六个交通岗,假设他在各交通岗遇到红灯这一事件是相互独立的,并且概率都是(1)求这位司机遇到红灯前,已经通过了两个交通岗的概率;(2)求这位司机在途中遇到红灯数ξ 的期望和方差3.摇奖器有个小球, 其中个小球上标有数字,个小球上标有数字,现摇出个小球,规定所得奖金(元)为这个小球上记号之和,求此次摇奖获得奖金数额的数学期望。4.某学生语、数、英三科考试成绩, 在一次考试中排名全班第一的概率:语文为,数学为,英语为,问一次考试中,(Ⅰ)三科成绩均未获得第一名的概率是多少?(Ⅱ)恰有一科成绩未获得第一名的概率是多少?5.如图,两点之间有条网线并联,它们能通过的最大信息量分别为现从中任取三条网线且使每条网线通过最大的信息量(I)设选取的三条网线由到可通过的信息总量为,当时,则保证信息畅通求线路信息畅通的概率;(II )求选取的三条网线可通过信息总量的数学期望2 / 7 6.三个元件正常工作的概率分别为将它们中某两个元件并联后再和第三元件串联接入电路(Ⅰ)在如图的电路中,电路不发生故障的概率是多少?(Ⅱ)三个元件连成怎样的电路,才能使电路中不发生故障的概率最大?请画出此时电路图,并说明理由。7.要制造一种机器零件,甲机床废品率为,而乙机床废品率为,而它们的生产是独立的,从它们制造的产品中,分别任意抽取一件,求:(1)其中至少有一件废品的概率;(2)其中至多有一件废品的概率8.某保险公司新开设了一项保险业务,若在一年内事件发生,该公司要赔偿元设在一年内发生的概率为,为使公司收益的期望值等于的百分之十,公司应要求顾客交多少保险金?9.有一批食品出厂前要进行五项指标检验,如果有两项指标不合格,则这批食品不能出厂已知每项指标抽检是相互独立的,且每项抽检出现不合格的概率都是(1)求这批产品不能出厂的概率(保留三位有效数字 );(2)求直至五项指标全部验完毕,才能确定该批食品是否出厂的概率(保留三位有效数字 )10.高三( 1)班、高三( 2)班每班已选出3 名学生组成代表队,进行乒乓球对抗赛比赛规则是:①按“单打、双打、单打”顺序进行三盘比赛;②代表队中每名队员至少参加一盘比赛,不得参加两盘...

1、当您付费下载文档后,您只拥有了使用权限,并不意味着购买了版权,文档只能用于自身使用,不得用于其他商业用途(如 [转卖]进行直接盈利或[编辑后售卖]进行间接盈利)。
2、本站所有内容均由合作方或网友上传,本站不对文档的完整性、权威性及其观点立场正确性做任何保证或承诺!文档内容仅供研究参考,付费前请自行鉴别。
3、如文档内容存在违规,或者侵犯商业秘密、侵犯著作权等,请点击“违规举报”。

碎片内容

离散型随机变量练习题

您可能关注的文档

文库响当当+ 关注
实名认证
内容提供者

该用户很懒,什么也没介绍

确认删除?
VIP
微信客服
  • 扫码咨询
会员Q群
  • 会员专属群点击这里加入QQ群
客服邮箱
回到顶部