电脑桌面
添加小米粒文库到电脑桌面
安装后可以在桌面快捷访问

考研数学强化班高等数学讲义-汤家凤

考研数学强化班高等数学讲义-汤家凤_第1页
1/45
考研数学强化班高等数学讲义-汤家凤_第2页
2/45
考研数学强化班高等数学讲义-汤家凤_第3页
3/45
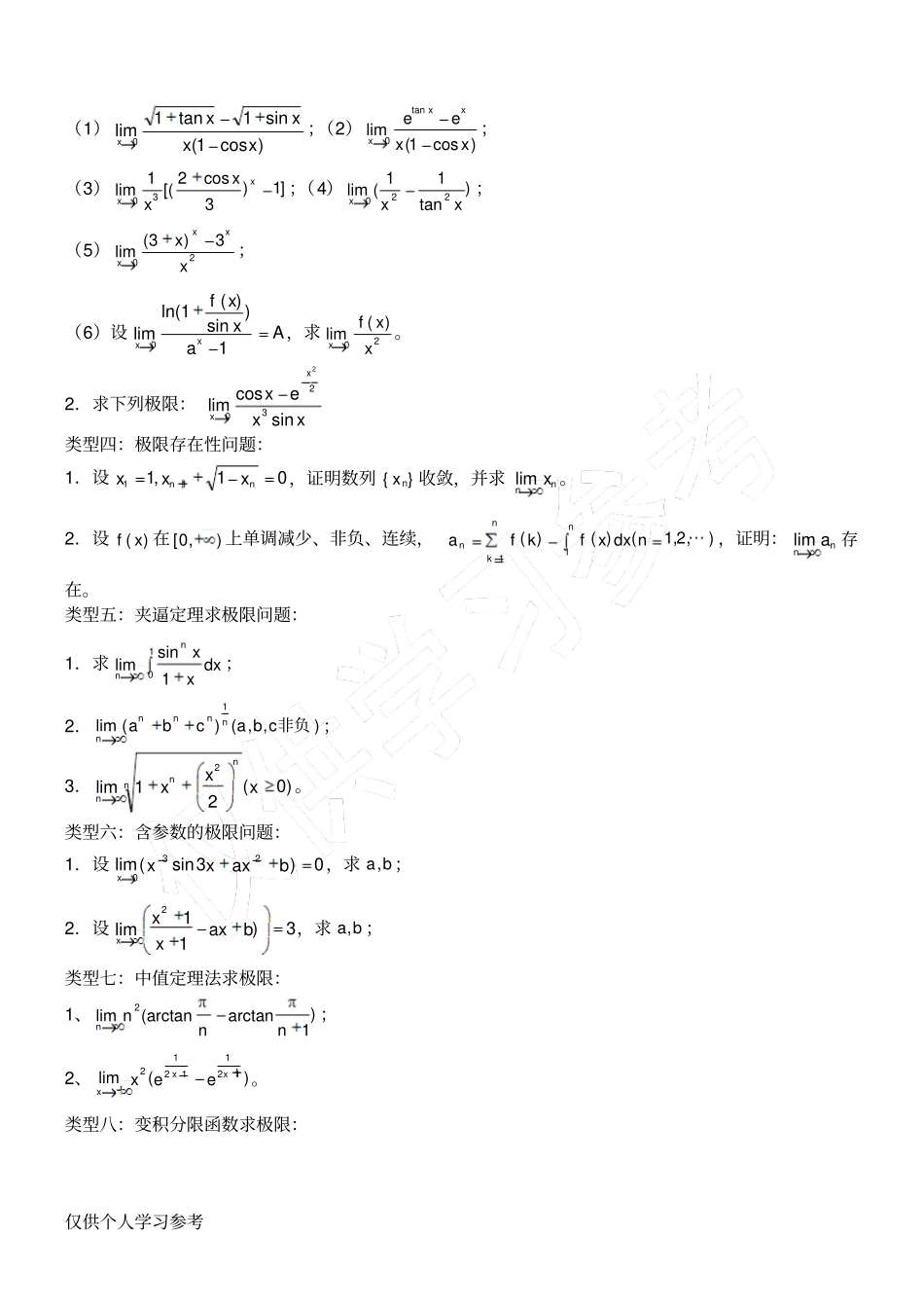
仅供个人学习参考第一讲极限与连续主要内容概括(略)重点题型讲解一、极限问题类型一:连加或连乘的求极限问题1.求下列极限:(1))12)(12(1531311limnnn;(2)11lim332 kknkn;(3)nknnkk1])1(1[lim;2.求下列极限:(1)nnnnn22241241141lim;3.求下列极限:(1)22222212111limnnnnn;(2)nnnn!lim;(3)ninnin1211lim。类型二:利用重要极限求极限的问题1.求下列极限:(1))0(2cos2cos2coslim2xxxxnn;(2)nnnnnn1sin)1(lim1;2.求下列极限:(1)xxxcos1120sin1lim;(3))21ln(103sin1tan1limxxxxx;(4)21coslimxxx;类型三:利用等价无穷小和麦克劳林公式求极限的问题1.求下列极限:仅供个人学习参考(1))cos1(sin1tan1lim0xxxxx;(2))cos1(limtan0xxeexxx;(3)]1)3cos2[(1lim30xxxx;(4))tan11(lim220xxx;(5)203)3(limxxxxx;(6)设Aaxxfxx1)sin)(1ln(lim0,求20)(limxxfx。2.求下列极限:xxexxxsincoslim3202类型四:极限存在性问题:1.设01,111nnxxx,证明数列}{nx收敛,并求nnxlim。2.设)( xf在),0[上单调减少、非负、连续,),2,1()()(11ndxxfkfannkn,证明:nnalim存在。类型五:夹逼定理求极限问题:1.求10 1sinlimdxxxnn;2.),,()(lim1非负cbacbannnnn;3.)0(21lim2xxxnnnn。类型六:含参数的极限问题:1.设0)3sin(lim230baxxxx,求ba, ;2.设3)11lim2baxxxx,求ba, ;类型七:中值定理法求极限:1、)1arctan(arctanlim2nnnn;2、)(lim1211212xxxeex。类型八:变积分限函数求极限:仅供个人学习参考1、)11)(tan(2coslim200xxxxxtdtextx。2、设)( xf连续,且1)1(f,则1)(lim3111xdtxtfxx。二、连续与间断的判断1.设01,110,00,)1ln()(xxxxxxxxxf,讨论函数)( xf在0x处的连续性。2.讨论0,10,)12()12()(11xxxfxx在0x处的连续性。三、连续性命题的证明1.设),[)(aCxf且)(limxfx存在,证明)(xf在),[a上有界。2.设)( xf在],[ba上连续,任取0,0 qp,证明:存在),(ba,使得)())()()(fqpbqfapf。第二讲微分学第一部分一元函数微分学内容复习(略)重点题型讲解(一)与导数定义相关的问题1.设)(0xf存在,求)0()()(lim000hhxfhxfh。2.设)(xf在1x处连续,且21)(lim21 xxfx,求)1(f。3.设)( xf在),(上有定义,对任意的yx,有)()()(yfxfyxf,且1)0(f,求)(xf。4.设)( xf二阶连续可导,且1)(lim0xxfx,ef)0(,则______lim2)(0xeexxfx。5 . 设)(xf在),(上 有 定 义 , 且 对 任 意 ...

1、当您付费下载文档后,您只拥有了使用权限,并不意味着购买了版权,文档只能用于自身使用,不得用于其他商业用途(如 [转卖]进行直接盈利或[编辑后售卖]进行间接盈利)。
2、本站所有内容均由合作方或网友上传,本站不对文档的完整性、权威性及其观点立场正确性做任何保证或承诺!文档内容仅供研究参考,付费前请自行鉴别。
3、如文档内容存在违规,或者侵犯商业秘密、侵犯著作权等,请点击“违规举报”。

碎片内容

考研数学强化班高等数学讲义-汤家凤

文库当当响+ 关注
实名认证
内容提供者

该用户很懒,什么也没介绍

确认删除?
VIP
微信客服
  • 扫码咨询
会员Q群
  • 会员专属群点击这里加入QQ群
客服邮箱
回到顶部