电脑桌面
添加小米粒文库到电脑桌面
安装后可以在桌面快捷访问

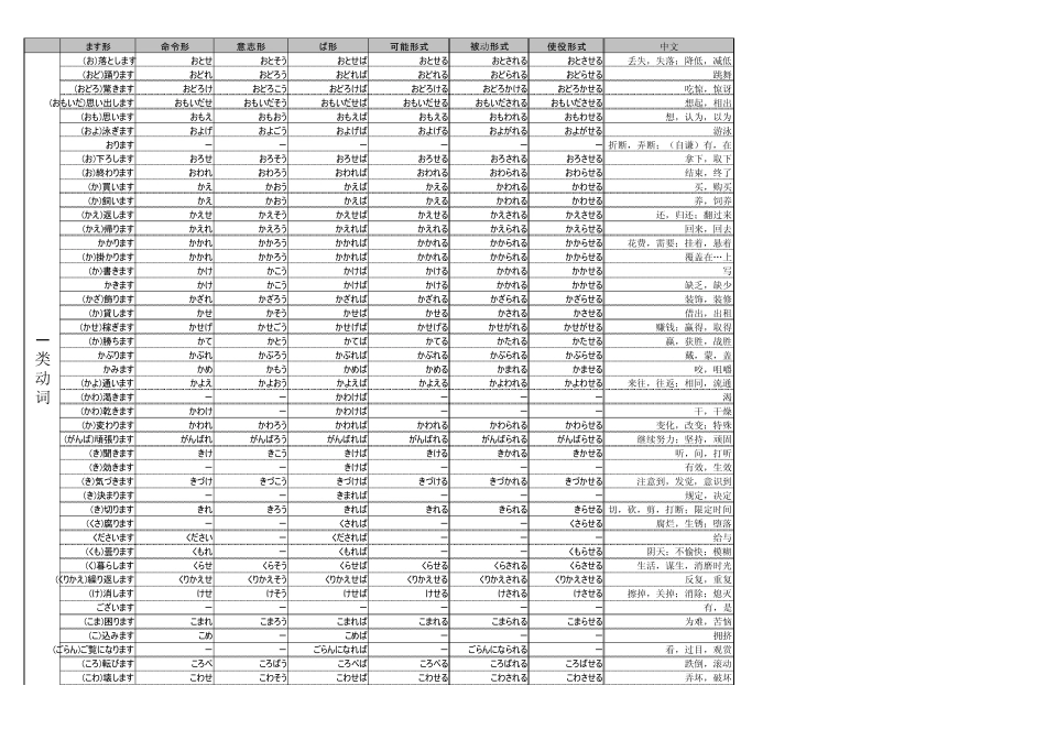
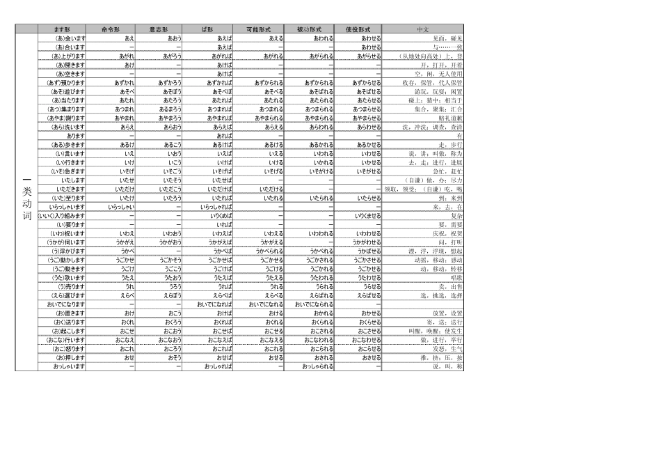
日语三级动词一览表(各种形式)

日语三级动词一览表(各种形式)_第1页
1/10
日语三级动词一览表(各种形式)_第2页
2/10
日语三级动词一览表(各种形式)_第3页
3/10
ます形命令形意志形ば形可能形式被动形式使役形式中文(あ)会いますあえあおうあえばあえるあわれるあわせる见面,碰见(あ)合いますーーあえばーーあわせる与……一致(あ)上がりますあがれあがろうあがればあがれるあがられるあがらせる(从地处向高处)上,登(あ)開きますあけーあけばーーー开,打开,开着(あ)空きますーーあけばーーー空,闲,无人使用(あず)預かりますあずかれあずかろうあずかればあずかられるあずかられるあずからせる收存,保管,代人保管(あそ)遊びますあそべあそぼうあそべぼあそべるあそばれるあそばせる游玩,玩耍;闲置(あ)当たりますあたれあたろうあたればあたれるあたられるあたらせる碰上;猜中;相当于(あつ)集まりますあつまれあるまろうあつまればあつまれるあつまられるあつまらせる集合,聚集;汇合(あやま)謝りますあやまれあやまろうあやまればあやまられるあやまられるあやまらせる赔礼道歉(あら)洗いますあらえあらおうあらえばあらえるあらわれるあらわせる洗,冲洗;调查,查清ありますーーあればーーー有(ある)歩きますあるけあるこうあるけばあるけるあるかれるあるかせる走,步行(い)言いますいえいおういえばいえるいわれるいわせる说,讲;叫做,称为(い)行きますいけいこういけばいけるいかれるいかせる去,走;进行,进展(いそ)急ぎますいそげいそごういそげばいそげるいそがけるいそがせる急忙,赶忙いたしますいたせいたそういたせばーーー(自谦)做,办;尽力いただきますいただけいただこういただけばいただけるーー 领取,领受;(自谦)吃,喝(いた)至りますいたけいたろういたればいたれるいたられるいたらせる到;来到いらっしゃいますいらっしゃいーいらっしゃればーーー来,去,在(いいく)入り組みますーーいりくめばーーいりくませる复杂(い)要りますーーいればーーー要,需要(いわ)祝いますいわえいわおういわえばいわえるいわわれるいわわせる庆祝,祝贺(うかが)伺いますうかがえうかがおううかがえばうかがえるーうかがわせる问,打听(う)浮かびますうかべーうかべばうかべられるうかべれるうかばせる漂,浮,浮现,想起(うご)動かしますうごかせうごかそううごかせばうごかせるうごかされるうごかさせる动摇,移动;感动(うご)動きますうごけうごこううごけばうごけるうごかれるうごかせる动,移动,转移(うた)歌いますうたえうたおううたえばうたえるうたわれるうたわせる唱歌(...

1、当您付费下载文档后,您只拥有了使用权限,并不意味着购买了版权,文档只能用于自身使用,不得用于其他商业用途(如 [转卖]进行直接盈利或[编辑后售卖]进行间接盈利)。
2、本站所有内容均由合作方或网友上传,本站不对文档的完整性、权威性及其观点立场正确性做任何保证或承诺!文档内容仅供研究参考,付费前请自行鉴别。
3、如文档内容存在违规,或者侵犯商业秘密、侵犯著作权等,请点击“违规举报”。

碎片内容

日语三级动词一览表(各种形式)

您可能关注的文档

小辰9+ 关注
实名认证
内容提供者

出售各种资料和文档

确认删除?
VIP
微信客服
  • 扫码咨询
会员Q群
  • 会员专属群点击这里加入QQ群
客服邮箱
回到顶部