电脑桌面
添加小米粒文库到电脑桌面
安装后可以在桌面快捷访问

昆明西部客运站汽车时刻表

昆明西部客运站汽车时刻表_第1页
1/20
昆明西部客运站汽车时刻表_第2页
2/20
昆明西部客运站汽车时刻表_第3页
3/20
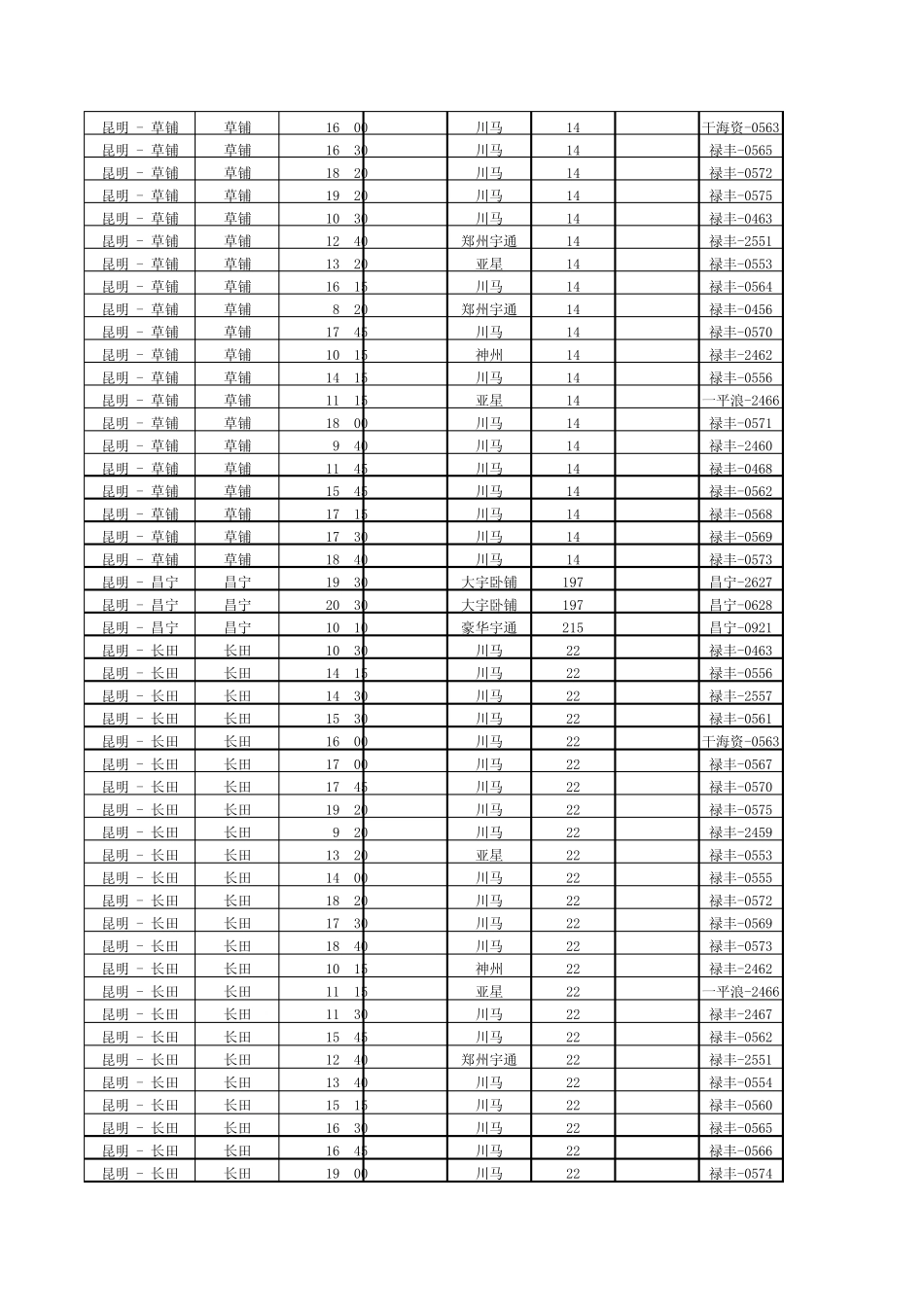
出发站到达站出发时间里程车型全程票价需用时间备注昆明 - 安丰营安丰营13:40川马15禄丰-0554昆明 - 安丰营安丰营14:45川马15禄丰-0558昆明 - 安丰营安丰营15:15川马15禄丰-0560昆明 - 安丰营安丰营9:20川马15禄丰-2459昆明 - 安丰营安丰营9:40川马15禄丰-2460昆明 - 安丰营安丰营11:45川马15禄丰-0468昆明 - 安丰营安丰营12:40郑州宇通 15禄丰-2551昆明 - 安丰营安丰营14:15川马15禄丰-0556昆明 - 安丰营安丰营18:20川马15禄丰-0572昆明 - 安丰营安丰营19:00川马15禄丰-0574昆明 - 安丰营安丰营11:15亚星15一平浪-2466昆明 - 安丰营安丰营13:20亚星15禄丰-0553昆明 - 安丰营安丰营14:30川马15禄丰-2557昆明 - 安丰营安丰营15:00万达15禄丰-0559昆明 - 安丰营安丰营15:30川马15禄丰-0561昆明 - 安丰营安丰营16:00川马15干海资-0563昆明 - 安丰营安丰营16:45川马15禄丰-0566昆明 - 安丰营安丰营17:15川马15禄丰-0568昆明 - 安丰营安丰营17:45川马15禄丰-0570昆明 - 安丰营安丰营10:00星王15禄丰-0461昆明 - 安丰营安丰营10:15神州15禄丰-2462昆明 - 安丰营安丰营11:30川马15禄丰-2467昆明 - 安丰营安丰营12:20川马15禄丰-2470昆明 - 安丰营安丰营15:45川马15禄丰-0562昆明 - 安丰营安丰营16:30川马15禄丰-0565昆明 - 安丰营安丰营18:00川马15禄丰-0571昆明 - 安丰营安丰营18:40川马15禄丰-0573昆明 - 安丰营安丰营19:20川马15禄丰-0575昆明 - 安丰营安丰营12:00川马15禄丰-0469昆明 - 安丰营安丰营8:40川马15禄丰-0457昆明 - 安丰营安丰营9:00川马15禄丰-0458昆明 - 安丰营安丰营10:30川马15禄丰-0463昆明 - 安丰营安丰营10:53川马15禄丰-2464昆明 - 安丰营安丰营14:00川马15禄丰-0555昆明 - 安丰营安丰营16:15川马15禄丰-0564昆明 - 安丰营安丰营17:00川马15禄丰-0567昆明 - 安丰营安丰营17:30川马15禄丰-0569昆明 - 安丰营安丰营8:20郑州宇通 15禄丰-0456昆明 - 保山保山21:10大宇卧铺169保山-0612昆明 - 保山保山13:00宇通卧铺169保山-0604昆明 - 保山保山14:00豪华宇通 207保山-0916昆明 - 保山保山15:40豪华宇通 207保山-0917昆明 - 保山保山22:00大宇卧铺169保山-0611昆明 - 保山保山9:30豪华宇通 207保山-0912昆明西部客运站时刻表昆明 - 保山 保山10:30宇通卧铺 169保山-0602昆明 - 保山 保山16:30豪华宇通 207保山-0918昆明 - 保...

1、当您付费下载文档后,您只拥有了使用权限,并不意味着购买了版权,文档只能用于自身使用,不得用于其他商业用途(如 [转卖]进行直接盈利或[编辑后售卖]进行间接盈利)。
2、本站所有内容均由合作方或网友上传,本站不对文档的完整性、权威性及其观点立场正确性做任何保证或承诺!文档内容仅供研究参考,付费前请自行鉴别。
3、如文档内容存在违规,或者侵犯商业秘密、侵犯著作权等,请点击“违规举报”。

碎片内容

昆明西部客运站汽车时刻表

小辰7+ 关注
实名认证
内容提供者

出售各种资料和文档

确认删除?
VIP
微信客服
  • 扫码咨询
会员Q群
  • 会员专属群点击这里加入QQ群
客服邮箱
回到顶部