电脑桌面
添加小米粒文库到电脑桌面
安装后可以在桌面快捷访问

贾民平测试技术习题标准答案VIP专享

贾民平测试技术习题标准答案_第1页
1/19
贾民平测试技术习题标准答案_第2页
2/19
贾民平测试技术习题标准答案_第3页
3/19
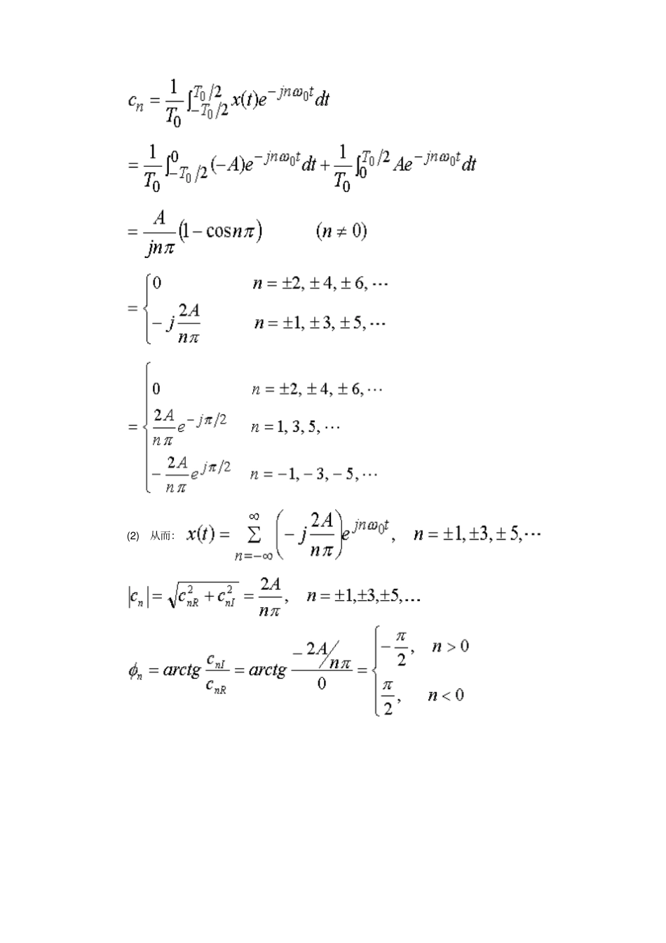
绪 论1 .举例说明什么是测试?答: (1) 测试例子:为了确定一端固定的悬臂梁的固有频率,我们可以采用锤击法对梁进行激振,再利用压电传感器、电荷放大器、波形记录器记录信号波形,由衰减的振荡波形便可以计算出悬臂梁的固有频率。(2)结论:由本例可知:测试是指确定被测对象悬臂梁的属性—固有频率的全部操作,是通过一定的技术手段—激振、拾振、记录、数据处理等,获取悬臂梁固有频率的信息的过程。2. 测试技术的任务是什么?答:测试技术的任务主要有:通过模型实验或现场实测,提高产品质量;通过测试,进行设备强度校验,提高产量和质量;监测环境振动和噪声,找振源,以便采取减振、防噪措施;通过测试,发现新的定律、公式等;通过测试和数据采集,实现对设备的状态监测、质量控制和故障诊断。3. 以方框图的形式说明测试系统的组成,简述主要部分的作用。( 1)测试系统方框图如下:( 2)各部分的作用如下:传感器是将被测信息转换成某种电信号的器件;信号的调理是把来自传感器的信号转换成适合传输和处理的形式;信号处理环节可对来自信号调理环节的信号,进行各种运算、滤波和分析;信号显示、记录环节将来自信号处理环节的信号显示或存贮。模数( A/D )转换和数模(D/A )转换是进行模拟信号与数字信号相互转换,以便用计算机处理。4.测试技术的发展动向是什么?传感器向新型、微型、智能型方向发展;测试仪器向高精度、多功能、小型化、在线监测、性能标准化和低价格发展;参数测量与数据处理向计算机为核心发展;第一章1求周期方波的傅立叶级数(复指数函数形式),画出| cn|-和-图。解: (1) 方波的时域描述为:(2) 从而:2 .求正弦信号的绝对均值和均方根值。解(1)(2)3. 求符号函数和单位阶跃函数的频谱。解: (1) 因为不满足绝对可积条件,因此,可以把符合函数看作为双边指数衰减函数:其傅里叶变换为:(2) 阶跃函数:4. 求被截断的余弦函数的傅里叶变换。解:(1) 被截断的余弦函数可以看成为:余弦函数与矩形窗的点积,即:(2) 根据卷积定理,其傅里叶变换为:5. 设有一时间函数f ( t ) 及其频谱如图所示。现乘以余弦函数cos0t (0>m)。在这个关系中函数f ( t ) 称为调制信号,余弦函数cos0t 称为载波。试求调幅信号的f ( t )cos0t 傅氏变换,并绘制其频谱示意图。又:若0

1、当您付费下载文档后,您只拥有了使用权限,并不意味着购买了版权,文档只能用于自身使用,不得用于其他商业用途(如 [转卖]进行直接盈利或[编辑后售卖]进行间接盈利)。
2、本站所有内容均由合作方或网友上传,本站不对文档的完整性、权威性及其观点立场正确性做任何保证或承诺!文档内容仅供研究参考,付费前请自行鉴别。
3、如文档内容存在违规,或者侵犯商业秘密、侵犯著作权等,请点击“违规举报”。

碎片内容

贾民平测试技术习题标准答案

确认删除?
微信客服
  • 扫码咨询
会员Q群
  • 会员专属群点击这里加入QQ群