电脑桌面
添加小米粒文库到电脑桌面
安装后可以在桌面快捷访问

有理数加减乘除混合运算综合练习

有理数加减乘除混合运算综合练习_第1页
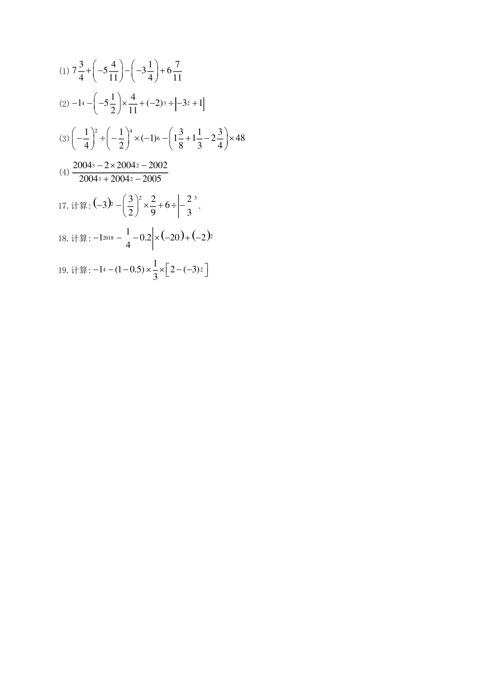
1/7
有理数加减乘除混合运算综合练习_第2页
2/7
有理数加减乘除混合运算综合练习_第3页
3/7
2 0 2 0 年0 9 月2 7 日x x 学校初中数学试卷 学校:___________姓名:___________班级:___________考号:___________ 一、计算题 1.计算:341162| 3|1  2.计算下列各式 (1) 1218723    (2) 11224463 3.计算题 (1) 551469      (2)111135332114 4.计算题 (1) 20( 14)( 18)13   (2)1 850.254  (3) 772( 6)483  (4)3571491236 5.计算211( 6)()23 6.计算题 (1)517248612  (2)   4211235   7.简算: (1)2016201803113243 (2)22102525298 8.计算. (1)3351 (1)()48624  (2 )3221113()( 2 )(2 )()( 3 )()222      (3 )2 41 9( 5 )2 5  (4 )43510 .712( 1 5 )0 .7( 1 5 )9494   (5 )2111315()1( 2 )( 5 )2231 14   (6 )31 0 02111132( 2 )()( 1 )3( 3 )82     9 .计算. (1 )50 .7 50 .34 . (2 )34 97312 21  . (3 )11150 .61 .7 5232 . (4 )37771 481 28   . 1 0 .计算 (1 )451211762 1. (2 )148 12649 . (3 ) 1111134566 0 . 11.计算:13257921 11 31 521 7        2 0 1 12 0 1 322 0 1 52 0 1 7  12.计算:12313 01 1 .721 1 .71 2 .52352 13.计算:71 1114 5( 2 5 )181 547    14.计算:23( 2 )14. 15.计算:243110 .53( 1 )2     16. 计算: (1)3417753641 141...

1、当您付费下载文档后,您只拥有了使用权限,并不意味着购买了版权,文档只能用于自身使用,不得用于其他商业用途(如 [转卖]进行直接盈利或[编辑后售卖]进行间接盈利)。
2、本站所有内容均由合作方或网友上传,本站不对文档的完整性、权威性及其观点立场正确性做任何保证或承诺!文档内容仅供研究参考,付费前请自行鉴别。
3、如文档内容存在违规,或者侵犯商业秘密、侵犯著作权等,请点击“违规举报”。

碎片内容

有理数加减乘除混合运算综合练习

您可能关注的文档

小辰4+ 关注
实名认证
内容提供者

出售各种资料和文档

确认删除?
VIP
微信客服
  • 扫码咨询
会员Q群
  • 会员专属群点击这里加入QQ群
客服邮箱
回到顶部