电脑桌面
添加小米粒文库到电脑桌面
安装后可以在桌面快捷访问

阴影部分的面积

阴影部分的面积_第1页
1/16
阴影部分的面积_第2页
2/16
阴影部分的面积_第3页
3/16
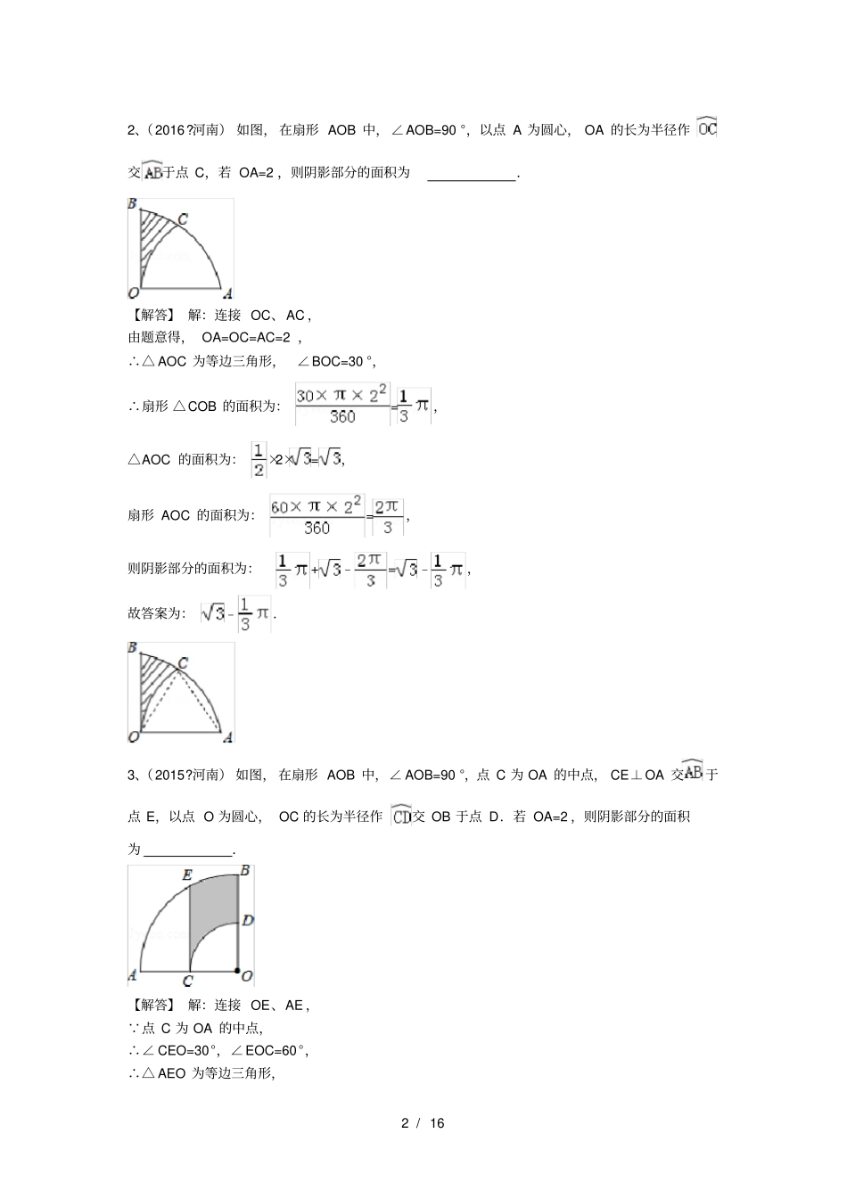
1 / 16 1、(2017?河南)如图,将半径为2,圆心角为 120°的扇形 OAB绕点 A 逆时针旋转 60°,点 O,B的对应点分别为 O′ ,B′,连接 BB′,则图中阴影部分的面积是 ()A.B.2﹣C.2﹣D.4﹣【解答】 解:连接 OO′ ,BO′ , 将半径为 2,圆心角为 120°的扇形 OAB绕点 A 逆时针旋转 60°,∴∠ OAO′ =60°,∴△ OAO′ 是等边三角形,∴∠ AOO′ =60°, ∠ AOB=120° ,∴∠ O′ OB=60°,∴△ OO′ B是等边三角形,∴∠ AO′ B=120°, ∠ AO′ B′ =120°,∴∠ B′ O′ B=120°,∴∠ O′ B′ B=∠O′ BB′ =30°,∴图中阴影部分的面积 =S△B′ O′ B﹣(S 扇形 O′ OB﹣S△OO′ B)=×1×2﹣(﹣×2×)=2﹣.故选 C.2 / 16 2、(2016?河南) 如图, 在扇形 AOB 中,∠AOB=90 °,以点 A 为圆心, OA 的长为半径作交于点 C,若 OA=2 ,则阴影部分的面积为.【解答】 解:连接 OC、AC ,由题意得, OA=OC=AC=2 ,∴△ AOC 为等边三角形,∠BOC=30 °,∴扇形 △COB 的面积为:=,△AOC 的面积为:×2×=,扇形 AOC 的面积为:=,则阴影部分的面积为:+﹣=﹣,故答案为:﹣.3、(2015?河南) 如图, 在扇形 AOB 中,∠ AOB=90 °,点 C 为 OA 的中点, CE⊥OA 交于点 E,以点 O 为圆心, OC 的长为半径作交 OB 于点 D.若 OA=2 ,则阴影部分的面积为.【解答】 解:连接 OE、AE , 点 C 为 OA 的中点,∴∠ CEO=30°,∠EOC=60°,∴△ AEO 为等边三角形,3 / 16 ∴S 扇形 AOE==π,∴S 阴影=S 扇形 AOB﹣S 扇形 COD﹣( S 扇形 AOE﹣ S△COE)=﹣﹣(π﹣×1×)=π﹣π+=+.故答案为:+.4、(14 题 3 分)(2014 年河南省 )如图,在菱形 ABCD 中,AB=1 ,∠DAB=60 °,把菱形 ABCD绕点 A 顺时针旋转30°得到菱形 AB ′C′D′,其中点 C 的运动路径为,则图中阴影部分的面积为.解答:解:连接 BD′,过 D′作 D′H⊥AB , 在菱形 ABCD 中, AB=1 ,∠DAB=60 °,把菱形 ABCD 绕点 A 顺时针旋转30°得到菱形AB ′C′D′,∴D′H=,∴S△ABD ′=1× =,∴图中阴影部分的面积为+﹣,故答案为:+﹣.5、(2016 河南 B 卷) 如图,在圆心角为90°的扇形 AOB 中,半径 OA=2,点 C、D分别是 OA、OB的中点,点 E 是的一个三等分点,将△ COD沿 CD折...

1、当您付费下载文档后,您只拥有了使用权限,并不意味着购买了版权,文档只能用于自身使用,不得用于其他商业用途(如 [转卖]进行直接盈利或[编辑后售卖]进行间接盈利)。
2、本站所有内容均由合作方或网友上传,本站不对文档的完整性、权威性及其观点立场正确性做任何保证或承诺!文档内容仅供研究参考,付费前请自行鉴别。
3、如文档内容存在违规,或者侵犯商业秘密、侵犯著作权等,请点击“违规举报”。

碎片内容

阴影部分的面积

文库当当响+ 关注
实名认证
内容提供者

该用户很懒,什么也没介绍

相关文档

确认删除?
VIP
微信客服
  • 扫码咨询
会员Q群
  • 会员专属群点击这里加入QQ群
客服邮箱
回到顶部