电脑桌面
添加小米粒文库到电脑桌面
安装后可以在桌面快捷访问

陕西西安交通大学附属中学_2017学年高一数学下学期期中试题理含解析VIP专享

陕西西安交通大学附属中学_2017学年高一数学下学期期中试题理含解析_第1页
1/5
陕西西安交通大学附属中学_2017学年高一数学下学期期中试题理含解析_第2页
2/5
陕西西安交通大学附属中学_2017学年高一数学下学期期中试题理含解析_第3页
3/5
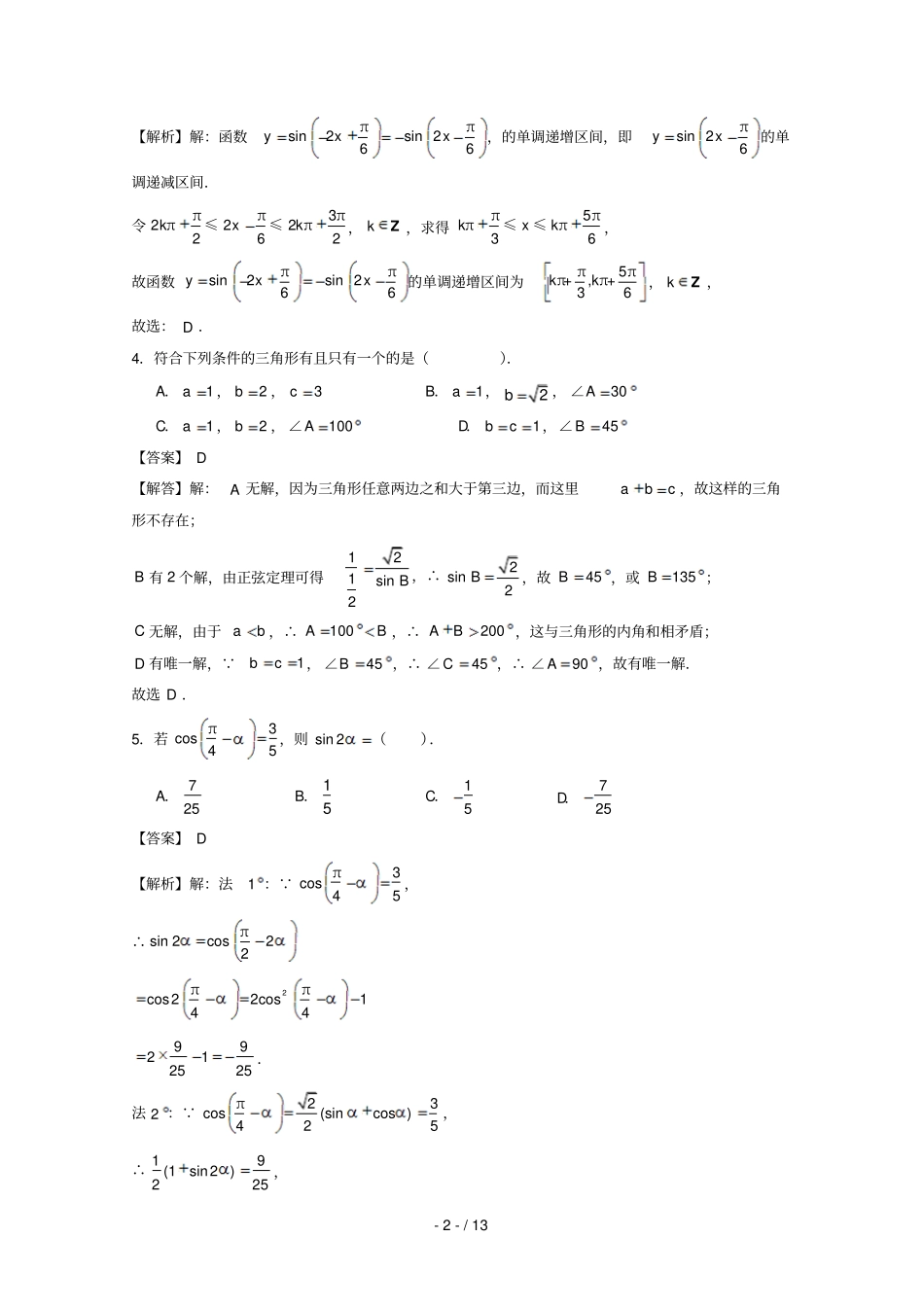
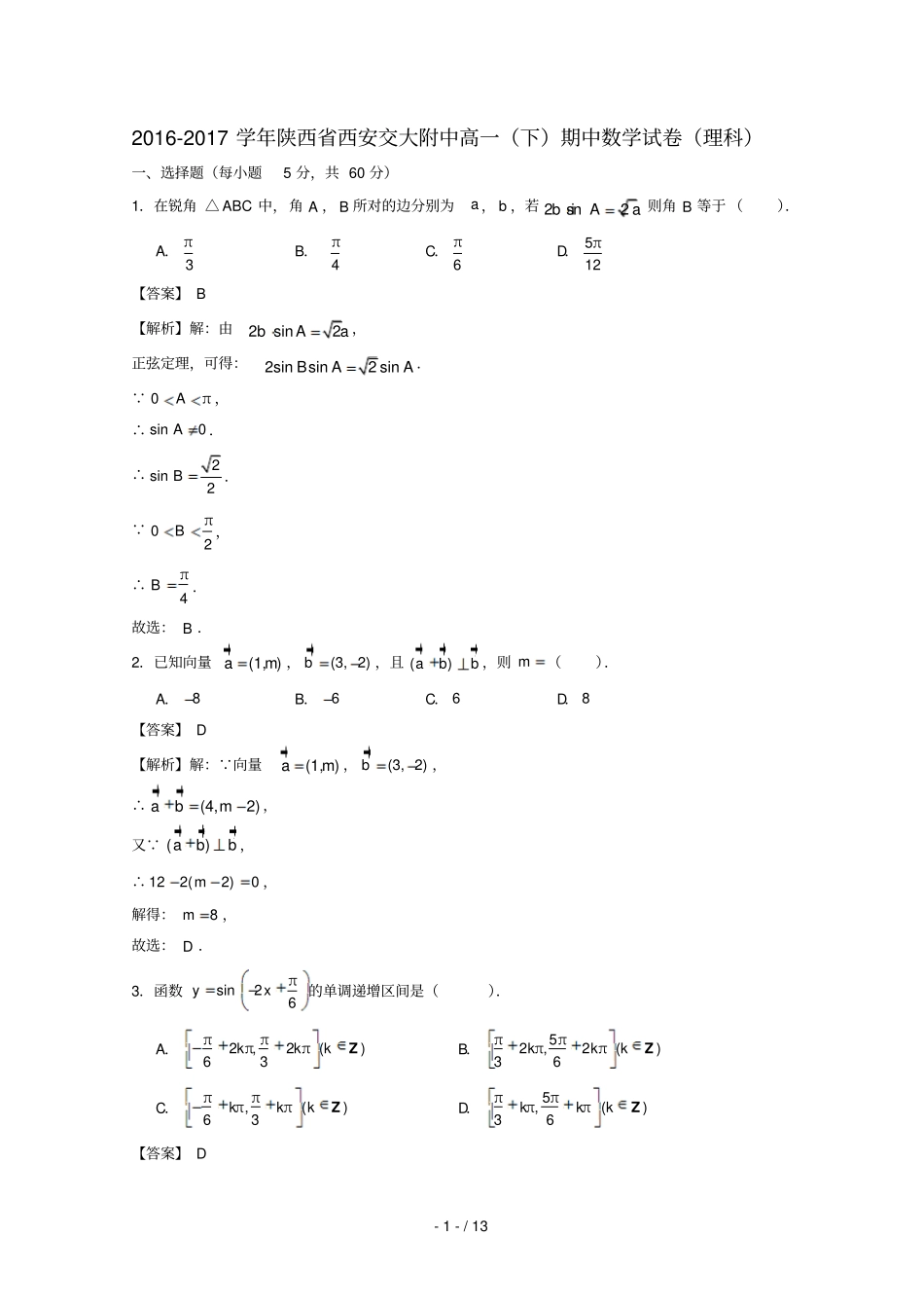
- 1 - / 13 2016-2017 学年陕西省西安交大附中高一(下)期中数学试卷(理科)一、选择题(每小题5 分,共 60 分)1.在锐角ABC△中,角 A , B 所对的边分别为a , b ,若 2sin2bAa 则角 B 等于 ().A. π3B.π4C. π6D. 5π12【答案】 B 【解析】解:由2sin2bAa ,正弦定理,可得:2sinsin2 sinBAA . 0πA,∴ sin0A.∴2sin2B. π02B,∴π4B.故选: B .2.已知向量(1, )am ,(3, 2)b,且 ()abb ,则 m().A.8B.6C. 6D. 8【答案】 D 【解析】解: 向量(1, )am ,(3, 2)b,∴(4,2)abm,又 ()abb ,∴ 122(2)0m,解得:8m,故选: D .3.函数πsin26yx的单调递增区间是().A.ππ2 π,2 π ()63kkkZB.π5π2 π,2 π ()36kkkZC.πππ,π ()63kkkZD.π5ππ,π ()36kkkZ【答案】 D - 2 - / 13 【解析】解:函数ππsin2sin 266yxx,的单调递增区间,即πsin 26yx的单调递减区间.令ππ3π2 π22 π262kxk≤≤, kZ ,求得π5πππ36kxk≤≤,故函数ππsin2sin 266yxx的单调递增区间为π5ππ+, π+36kk, kZ ,故选: D .4.符合下列条件的三角形有且只有一个的是().A.1a,2b,3cB.1a,2b,30A∠C.1a,2b,100A∠D.1bc,45B∠【答案】 D 【解答】解: A 无解,因为三角形任意两边之和大于第三边,而这里abc ,故这样的三角形不存在;B 有 2 个解,由正弦定理可得121sin2B ,∴2sin2B,故45B,或135B;C 无解,由于 ab ,∴100AB ,∴200AB,这与三角形的内角和相矛盾;D 有唯一解, 1bc,45B∠,∴45C∠,∴90A∠,故有唯一解.故选 D .5.若π3cos45,则 sin 2().A. 725B. 15C.15D.725【答案】 D 【解析】解:法1 : π3cos45,∴πsin 2cos222ππcos22cos14499212525.法 2 : π23cos(sincos )425,∴ 19(1sin2)225,- 3 - / 13 ∴97sin 2212525,故选: D .6.已知na为等差数列,其前n 项和为nS ,若36a,312S,则公差 d 等于().A.1B. 53C. 2D. 3【答案】 C 【解析】解:设等差数列na的首项为1a ,公差为 d ,由36a,312S,得:11263312adad,解得:12a,2d.故选 C .7.将函数2cos2yx 的图象向右平移π2个单位长度,再将所得图象的所有点的横坐标缩短到原来的 12倍(纵坐标不变) ,得到的函数解析式为().A.cos2yxB.2cosyxC.2sin...

1、当您付费下载文档后,您只拥有了使用权限,并不意味着购买了版权,文档只能用于自身使用,不得用于其他商业用途(如 [转卖]进行直接盈利或[编辑后售卖]进行间接盈利)。
2、本站所有内容均由合作方或网友上传,本站不对文档的完整性、权威性及其观点立场正确性做任何保证或承诺!文档内容仅供研究参考,付费前请自行鉴别。
3、如文档内容存在违规,或者侵犯商业秘密、侵犯著作权等,请点击“违规举报”。

碎片内容

陕西西安交通大学附属中学_2017学年高一数学下学期期中试题理含解析

确认删除?
VIP
微信客服
  • 扫码咨询
会员Q群
  • 会员专属群点击这里加入QQ群
客服邮箱
回到顶部