电脑桌面
添加小米粒文库到电脑桌面
安装后可以在桌面快捷访问

不定积分换元法例题

不定积分换元法例题_第1页
1/10
不定积分换元法例题_第2页
2/10
不定积分换元法例题_第3页
3/10
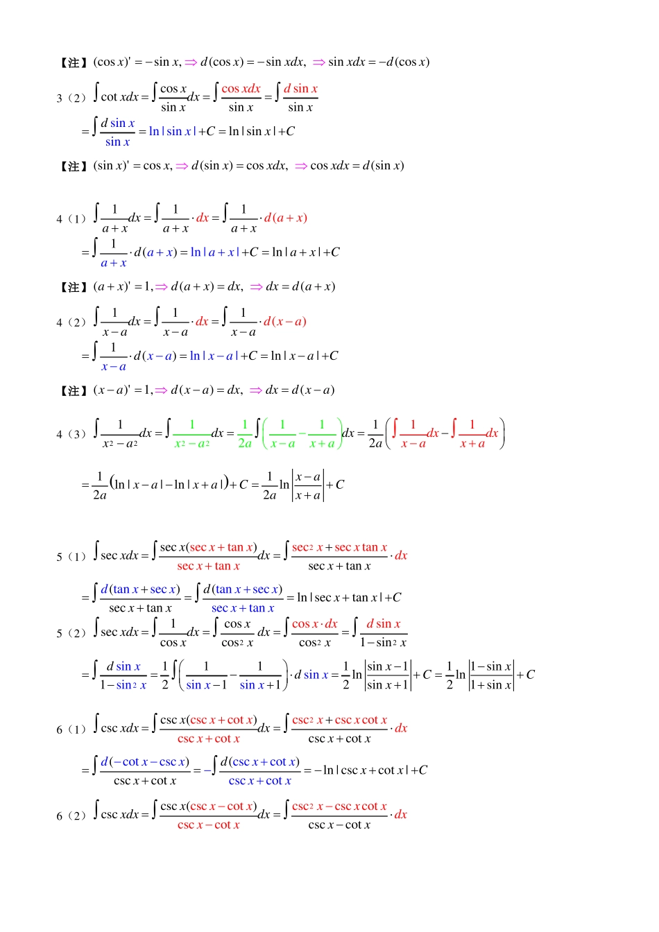
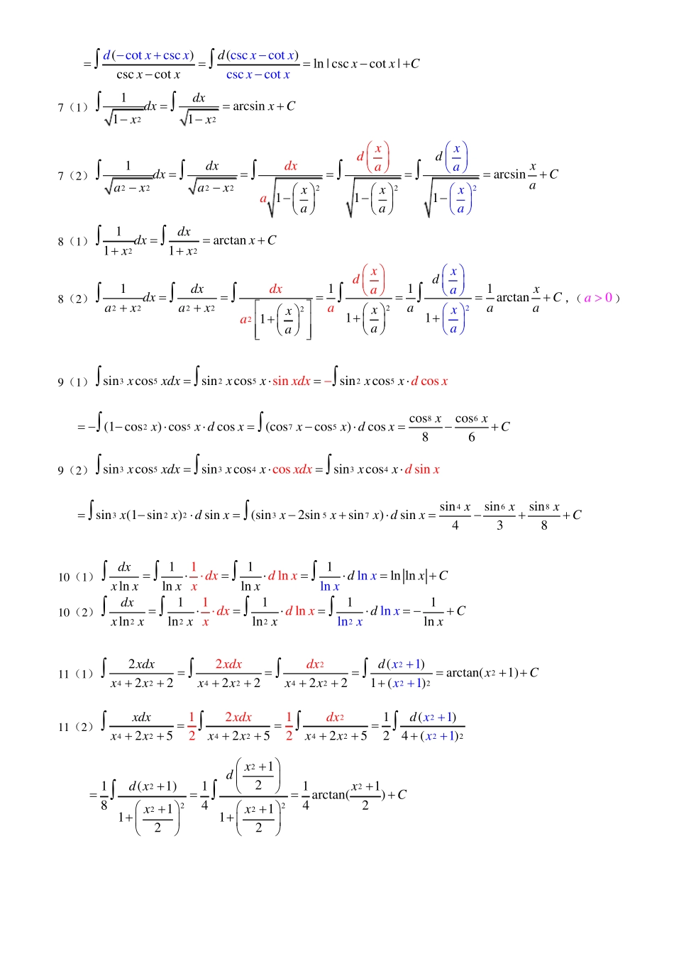
【不定积分的第一类换元法】已知 f (u)du  F(u) C f ((x)) '(x)dx   f ((x))d(x)【凑微分】 f (u)du  F(u) C【做变换,令u  (x) ,再积分】 F( (x))  C【变量还原,u  (x) 】求 g(x)dx 【求不定积分 g(x)dx 的第一换元法的具体步骤如下:】(1)变换被积函数的积分形式: g(x)dx (2)凑微分: g(x)dx  f ((x))'(x)dx f ((x)) '(x)dx   f ((x))d(x) f ((x))'(x)dx   f ((x))d(x)   f (u)du(3)作变量代换u  (x) 得: g(x)dx (4)利用基本积分公式 f (u)du  F(u) C 求出原函数: g(x)dx   f ((x)) '(x)dx   f ((x))d(x)   f (u)du  F(u)  C g(x)dx   f ((x)) '(x)dx   f ((x))d(x)   f (u)du  F(u) C  F( (x))  C(5)将u  (x) 代入上面的结果,回到原来的积分变量x 得:【注】熟悉上述步骤后,也可以不引入中间变量u  (x) ,省略(3)(4)步骤,这与复合函数的求导法则类似。__________________________________________________________________________________________【第一换元法例题】1、 (5x  7) dx (5x  7) dx  (5x  7) d(5x  7) 999 1519(5x  7) d(5x  7)51111(5x  7)9d(5x  7) (5x  7)10  C (5x  7)10  C55 10501【注】(5x  7)'  5,  d(5x  7)  5dx,  dx d(5x  7)5ln x1dx ln xxx dx  ln xd ln x11 ln xd ln x (ln x)2  C (ln x)2  C22111【注】(ln x)' ,  d(ln x) dx, dx  d(ln x)xxx2、3(1) tan xdx sin xsin xdxd cos xd cos xdx  cos xcos xcos xcos x  d cos x  ln | cos x | C  ln | cos x | Ccos x【注】(cos x)'  sin x,  d(cos x)  sin xdx,  sin xdx  d(cos x)3(2) cot xdx cos xcos xdxd sin xdx sin xsin xsin x  d sin x  ln | sin x | C  ...

1、当您付费下载文档后,您只拥有了使用权限,并不意味着购买了版权,文档只能用于自身使用,不得用于其他商业用途(如 [转卖]进行直接盈利或[编辑后售卖]进行间接盈利)。
2、本站所有内容均由合作方或网友上传,本站不对文档的完整性、权威性及其观点立场正确性做任何保证或承诺!文档内容仅供研究参考,付费前请自行鉴别。
3、如文档内容存在违规,或者侵犯商业秘密、侵犯著作权等,请点击“违规举报”。

碎片内容

不定积分换元法例题

确认删除?
VIP
微信客服
  • 扫码咨询
会员Q群
  • 会员专属群点击这里加入QQ群
客服邮箱
回到顶部